糖尿病治疗指南-完整的处方信息
品牌名称:Janumet
通用名称:盐酸西格列汀二甲双胍
内容:
适应症和用法
用量和给药
剂型及剂量
禁忌症
警告和注意事项
不良反应
药物的相互作用
特定人群使用
过量
描述
药理学
临床前毒理学
临床研究
如何提供
患者咨询信息
警告:乳酸性酸中毒
乳酸性酸中毒是一种罕见的,但严重的并发症,可发生由于二甲双胍积累。如果出现败血症、脱水、过量饮酒、肝功能不全、肾功雷竞技到底好不好用能损害和急性充血性心力衰竭等情况,风险会增加。
起病往往不明显,仅伴有非特异性症状,如乏力、肌痛、呼吸窘迫、嗜睡加重和非特异性腹部窘迫。实验室异常包括低pH值,阴离子间隙增加和血乳酸升高。
如果怀疑是酸中毒,Janumet1应停药并立即住院治疗。(见警告和注意事项]
适应症和用法
当西格列汀和二甲双胍治疗合适时,Janumet可作为饮食和运动的辅助药物来改善2型糖尿病的血糖控制。(见临床研究)
重要的使用限制
Janumet不应用于1型糖尿病患者或糖尿病酮症酸中毒的治疗,因为它在这些情况下不会有效。
Janumet尚未与胰岛素联合进行研究。
用量和给药
推荐剂量
Janumet抗高血糖治疗的剂量应根据患者目前的方案、有效性和耐受性进行个体化,同时不超过每日推荐的最大剂量100mg西格列汀和2000mg二甲双胍。最初的联合治疗或联合治疗的维持应个体化,由卫生保健提供者自行决定。
Janumet一般应每日两次随餐服用,剂量逐渐增加,以减少二甲双胍引起的胃肠道(GI)副作用。
Janumet的起始剂量应基于患者目前的治疗方案。一日两次,随餐服用。以下剂量是可用的:
西格列汀50毫克/盐酸二甲双胍500毫克
西格列汀50 mg /盐酸二甲双胍1000 mg。
仅靠饮食和运动控制不足的患者
对于饮食和运动控制不充分的2型糖尿病患者,如果使用含西格列汀和二甲双胍的联合片剂治疗被认为是合适的,建议起始剂量为西格列汀50mg /盐酸二甲双胍500mg,每日两次。血糖控制不充分的患者可每日两次滴定至50mg西格列汀/ 1000mg盐酸二甲双胍。
二甲双胍单药治疗控制不足的患者
如果使用含有西格列汀和二甲双胍的联合片剂治疗被认为适合于仅使用二甲双胍控制不充分的患者,那么Janumet的推荐起始剂量应提供西格列汀50mg,每日两次(每日总剂量100mg)和已经服用的二甲双胍剂量。对于每天两次服用二甲双胍850 mg的患者,Janumet的推荐起始剂量为50mg西格列汀/ 1000mg盐酸二甲双胍,每天两次。
西格列汀单药治疗控制不足的患者
如果单独使用西格列汀控制不充分的患者使用含有西格列汀和二甲双胍的联合片剂治疗被认为是合适的,那么Janumet的推荐起始剂量为西格列汀50mg /盐酸二甲双胍500mg,每日两次。对这一剂量控制不充分的患者可每日两次滴定至50mg西格列汀/ 1000mg盐酸二甲双胍。因肾功能不全而服用西格列汀单药剂量调整的患者不应改用Janumet[见禁忌症].
从西格列汀和二甲双胍联合用药的患者
对于从西格列汀和二甲双胍联合给药的患者,Janumet可以在已经服用西格列汀和二甲双胍的剂量下开始。
使用以下任何两种降糖药(西格列汀、二甲双胍或磺酰脲类)的双重联合治疗控制不充分的患者
如果在这种情况下使用含有西格列汀和二甲双胍的联合片剂治疗被认为是合适的,那么Janumet的通常起始剂量应提供西格列汀50mg,每日两次(每日总剂量100mg)。在确定二甲双胍成分的起始剂量时,应考虑患者的血糖控制水平和当前二甲双胍剂量(如果有)。应考虑逐步增加剂量以减少与二甲双胍相关的胃肠道(GI)副作用。目前正在服用或开始服用磺脲类药物的患者可能需要较低剂量的磺脲类药物来降低低血糖的风险警告和注意事项].
目前还没有研究专门检查Janumet在先前用其他口服降糖药治疗后改用Janumet的患者中的安全性和有效性。2型糖尿病治疗的任何改变都应谨慎进行,并进行适当的监测,因为血糖控制可能发生变化。
剂型及剂量
- 50mg / 500mg片剂为淡粉色胶囊状膜包片,一面有“575”字样。
- 50mg / 1000mg片剂为红色胶囊状薄膜包膜片,一面有“577”字样。
禁忌症
Janumet(西格列汀/盐酸二甲双胍)禁忌用于以下患者:
- 肾脏疾病或肾功能障碍,如血清肌酐水平提示≥1.5 mg/dL[男性],≥1.4 mg/dL[女性]或异常肌酐清除率,也可能由心血管衰竭(休克)、急性心肌梗死和败血症等情况引起[见雷竞技到底好不好用警告和注意事项].
- 急性或慢性代谢性酸中毒,包括糖尿病酮症酸中毒,伴或不伴昏迷。
- 对Janumet或西格列汀(Janumet的成分之一)有严重超敏反应史,如过敏反应或血管性水肿。(见警告和注意事项而且不良反应)
接受血管内给药碘造影剂放射学研究的患者应暂时停用Janumet,因为使用此类产品可能导致肾功能急性改变[见警告和注意事项].
警告和注意事项
乳酸酸中毒
盐酸二甲双胍
乳酸性酸中毒是一种罕见的,但严重的代谢并发症,可发生由于二甲双胍积累在Janumet治疗;当它发生时,大约50%的病例是致命的。乳酸性酸中毒也可能发生在一些病理生理条件,包括糖尿病,每当有明显的组织低灌注和低氧血症。雷竞技到底好不好用乳酸性酸中毒的特征是血乳酸水平升高(> 5mmol /L),血pH值降低,电解质紊乱,阴离子间隙增加,乳酸/丙酮酸比值增加。当二甲双胍被认为是乳酸性酸中毒的原因时,通常发现二甲双胍血浆水平为>5 μ/mL。
在接受盐酸二甲双胍治疗的患者中,乳酸性酸中毒的报道发生率非常低(约0.03例/1000例患者-年,约0.015例致命病例/1000例患者-年)。在临床试验中,超过2万患者年的二甲双胍暴露中,没有乳酸性酸中毒的报道。报道的病例主要发生在伴有明显肾功能不全的糖尿病患者中,包括本征肾病和肾低灌注,通常伴有多种内科/外科问题和多种药物。需要药物治疗的充血性心力衰竭患者,特别是有低灌注和低氧血症风险的不稳定或急性充血性心力衰竭患者,发生乳酸性酸中毒的风险增加。乳酸性酸中毒的危险随着肾功能不全程度和患者年龄的增加而增加。因此,在服用二甲双胍的患者中,通过定期监测肾功能并使用最小有效剂量的二甲双胍,乳酸性酸中毒的风险可能显著降低。特别是,对老年人的治疗应同时密切监测肾功能。年龄≥80岁的患者不应开始二甲双胍治疗,除非肌酐清除率的测量显示肾功能没有降低,因为这些患者更容易发生乳酸性酸中毒。此外,在出现任何与低氧血症、脱水或败血症相关的情况时,应立即停用二甲双胍。由于肝功能受损可能会显著限制乳酸清除能力,临床上或实验室有肝病证据的患者一般应避免使用二甲双胍。 Patients should be cautioned against excessive alcohol intake, either acute or chronic, when taking metformin, since alcohol potentiates the effects of metformin hydrochloride on lactate metabolism. In addition, metformin should be temporarily discontinued prior to any intravascular radiocontrast study and for any surgical procedure [see警告和注意事项].
乳酸性酸中毒的起病通常是轻微的,仅伴有非特异性症状,如乏力、肌痛、呼吸窘迫、嗜睡加重和非特异性腹部窘迫。可能伴有低体温、低血压和较明显酸中毒的难治性慢速心律失常。患者和患者的医生必须意识到这些症状可能的重要性,如果出现这些症状,应指示患者立即通知医生警告和注意事项].二甲双胍应停用直至情况澄清。血清电解质,酮类,血糖,如果需要,血液pH值,乳酸水平,甚至血液二甲双胍水平可能是有用的。一旦患者在二甲双胍的任何剂量水平上稳定下来,治疗开始期间常见的胃肠道症状就不太可能与药物有关。后期胃肠道症状的发生可能是由于乳酸酸中毒或其他严重疾病所致。
在服用二甲双胍的患者中,空腹静脉血浆乳酸水平高于正常上限但低于5mmol /L并不一定表明即将发生乳酸性酸中毒,可能由其他机制解释,如控制不良的糖尿病或肥胖,剧烈的体育活动,或样品处理中的技术问题[见警告和注意事项].
任何代谢性酸中毒且缺乏酮症酸中毒(酮尿症和酮血症)证据的糖尿病患者都应怀疑为乳酸性酸中毒。
乳酸性酸中毒是一种医疗紧急情况,必须在医院治疗。对于正在服用二甲双胍的乳酸性酸中毒患者,应立即停药,并及时采取一般性支持措施。由于盐酸二甲双胍是可透析的(在良好的血液动力学条件下,其清除率可达170 mL/min),建议及时进行血液透析以纠正酸中毒并清除积聚的二甲双胍。雷竞技到底好不好用这样的处理通常会导致症状的迅速逆转和恢复禁忌症;警告和注意事项].
肝功能受损
由于肝功能受损与一些乳酸性酸中毒病例有关,临床或实验室有肝病证据的患者通常应避免使用Janumet。
肾功能评估
已知二甲双胍和西格列汀主要由肾脏排出。二甲双胍积累和乳酸酸中毒的风险随着肾功能损害程度的增加而增加。因此,血清肌酐水平高于正常上限的患者不应接受Janumet。在老年人中,应仔细滴定Janumet,以建立适当的升糖作用的最小剂量,因为衰老可能与肾功能下降有关。(见警告和注意事项而且特定人群使用)
在开始使用Janumet治疗之前和之后至少每年一次,应评估并验证肾功能正常。对于预计会发生肾功能障碍的患者,特别是老年患者,应更频繁地评估肾功能,如果有肾功能损害的证据,应停用Janumet。
维生素B12水平
在二甲双胍29周的对照临床试验中,先前正常的血清维生素B水平下降到低于正常水平12在约7%的患者中观察到无临床表现的水平。这种减少可能是由于B的干扰12从B的吸收12然而,-内在因子复合物很少与贫血相关,并且似乎可在停用二甲双胍或维生素B后迅速可逆12补充。建议患者每年1月测量一次血液参数,任何明显异常都应适当调查和处理。(见不良反应)
某些人(维生素B不足的人)12或钙的摄入或吸收)似乎倾向于产生低于正常水平的维生素B12的水平。在这些患者中,常规血清维生素B12每隔两到三年进行一次测量可能是有用的。
饮酒
已知酒精可增强二甲双胍对乳酸代谢的影响。因此,在接受Janumet时,应警告患者不要过量饮酒,无论是急性还是慢性。
外科手术
在进行任何外科手术时,应暂停使用Janumet(与限制食物和液体摄入无关的小手术除外),并且在患者口服摄入量恢复且肾功能评估为正常之前,不应重新使用Janumet。
既往控制的2型糖尿病患者临床状况的变化
在Janumet治疗前控制良好的2型糖尿病患者,如果出现实验室异常或临床疾病(特别是模糊和不明确的疾病),应及时评估酮症酸中毒或乳酸性酸中毒的证据。评估应包括血清电解质和酮类、血糖,如有必要,还应包括血液pH值、乳酸、丙酮酸和二甲双胍水平。如果发生任何一种形式的酸中毒,Janumet必须立即停止,并采取其他适当的纠正措施。
与已知会导致低血糖的药物一起使用
Sitagliptin
与其他抗高血糖药物与磺酰脲类药物联合使用的典型情况一样,当西格列汀与二甲双胍和一种磺酰脲类药物(一种已知引起低血糖的药物)联合使用时,低血糖的发生率比安慰剂与二甲双胍和一种磺酰脲类药物联合使用时增加[见不良反应].因此,同时接受胰岛素促泌剂(如磺酰脲、甲格利替胺)的患者可能需要较低剂量的胰岛素促泌剂以降低低血糖的风险[见用量和给药].
盐酸二甲双胍
在通常使用情况下,仅接受二甲双胍的患者不会发生低血糖,但当热量摄入不足时,当剧烈运动没有热量补充时,或与其他降糖药(如磺脲类药物和胰岛素)或乙醇同时使用时,可能发生低血糖。老年、虚弱或营养不良的病人,以及肾上腺或垂体功能不全或酒精中毒的病人特别容易受到低血糖的影响。低血糖在老年人和服用β-肾上腺素能阻断药物的人群中可能难以识别。
影响肾功能或二甲双胍处置的伴随药物
可能影响肾功能或导致显著血流动力学改变或可能干扰二甲双胍处置的伴随药物,如被肾小管分泌消除的阳离子药物[见药物的相互作用],应谨慎使用。
血管内碘造影剂的放射学研究
使用碘化材料的血管内对比研究(例如,使用血管内对比材料的静脉尿路造影、静脉胆管造影、血管造影和计算机断层扫描(CT)扫描)可导致肾功能急性改变,并与接受二甲双胍的患者的乳酸性酸中毒有关[见禁忌症].因此,对于计划进行任何此类研究的患者,应在手术时或手术前暂时停用Janumet,手术后停用48小时,只有在肾功能重新评估并发现正常后才重新使用。
低氧状态
无论是什么原因引起的心血管衰竭(休克),急性充血性心力衰竭,急性心肌梗死和其他以低氧血症为特征的疾病都与乳酸性酸中毒有关,也可能引起肾前氮血症。雷竞技到底好不好用当患者在接受Janumet治疗时发生此类事件时,应立即停药。
血糖失控
当一个稳定在任何糖尿病治疗方案的患者暴露于压力,如发烧、创伤、感染或手术,可能会发生暂时的血糖控制失控。在这种情况下,可能有必要停用Janumet并暂时注射胰岛素。急性发作缓解后,可能会重新启用Janumet。
过敏反应
在使用西格列汀(Janumet的成分之一)治疗的患者中,有上市后严重过敏反应的报告。这些反应包括过敏反应、血管性水肿和剥脱性皮肤状况,包括Stevens-Johnson综合征。雷竞技到底好不好用由于这些反应是在规模不确定的人群中自愿报告的,因此通常不可能可靠地估计其发生频率或建立与药物接触的因果关系。这些反应发生在西格列汀治疗开始后的前3个月内,有些报告发生在第一次剂量后。如果怀疑过敏反应,停止服用,评估事件的其他潜在原因,并对糖尿病进行替代治疗。(见不良反应)
Macrovascular结果
目前还没有临床研究证明Janumet或任何其他抗糖尿病药物可以降低大血管风险。
不良反应
临床试验经验
由于临床试验是在大不相同的条件下进行的,在一种药物的临床试验中观察到的不良反应率不能直接与另一种药物的临床试验中观察到雷竞技到底好不好用的不良反应率进行比较,也不能反映实际中观察到的不良反应率。
西格列汀和二甲双胍联合应用于饮食和运动控制不充分的2型糖尿病患者
表1总结了一项24周安慰剂对照因子研究中报告的最常见(≥5%的患者)不良反应(无论研究者评估因果关系),该研究将西格列汀和二甲双胍联合应用于饮食和运动控制不充分的2型糖尿病患者。
表1:西格列汀和二甲双胍联合应用于饮食和运动控制不充分的2型糖尿病患者:在接受联合治疗的患者中(且高于接受安慰剂的患者),有â‰5%的患者报告有不良反应(不管研究者对因果关系的评估)*
| 患者人数(%) | ||||
安慰剂 |
Sitagliptin 100 mg QD |
二甲双胍500毫克/ 二甲双胍1000毫克bid一个€ |
Sitagliptin 50mg bid + 二甲双胍500毫克/ 二甲双胍1000毫克bid一个€ |
|
| N = 176 | N = 179 | N = 364一个€ | N = 372一个€ | |
|
||||
| 腹泻 | 7 (4.0) | 5 (2.8) | 28日(7.7) | 28日(7.5) |
| 上呼吸道感染 | 9 (5.1) | 8 (4.5) | 19日(5.2) | 23日(6.2) |
| 头疼 | 5 (2.8) | 2 (1.1) | 14 (3.8) | 22日(5.9) |
西格列汀附加疗法在二甲双胍单独控制不足的2型糖尿病患者中的应用
在一项24周的安慰剂对照试验中,西格列汀100 mg每日1次加到每日2次二甲双胍方案中,无论研究者评估因果关系如何,在â‰5%的患者中没有不良反应报告,比给予安慰剂的患者更常见。由于临床不良反应而中止治疗的情况与安慰剂治疗组相似(西格列汀和二甲双胍,1.9%;安慰剂和二甲双胍,2.5%)。
低血糖症
低血糖不良反应以所有低血糖报告为依据;不需要同时测量血糖。在饮食和运动控制不充分的2型糖尿病患者中,预先指定的低血糖不良反应的总发生率在安慰剂组为0.6%,单独西格列汀组为0.6%,单独二甲双胍组为0.8%,西格列汀联合二甲双胍组为1.6%。在仅使用二甲双胍控制不充分的2型糖尿病患者中,加用西格列汀的患者低血糖不良反应的总发生率为1.3%,加用安慰剂的患者为2.1%。
胃肠道不良反应
用西格列汀和二甲双胍治疗的患者预选胃肠道不良反应的发生率与仅用二甲双胍治疗的患者相似。见表2。
表2:在接受西格列汀和二甲双胍治疗的2型糖尿病患者中报告的预先选择的胃肠道不良反应(不考虑研究者对因果关系的评估)。
| 患者人数(%) | ||||||
| 西格列汀和二甲双胍在控制不足患者中的应用研究 有关饮食及运动 |
仅使用二甲双胍控制不充分的患者使用西格列汀的研究 | |||||
安慰剂 |
Sitagliptin 100 mg QD |
二甲双胍500毫克/ 二甲双胍1000毫克bid* |
Sitagliptin 50mg bid + 二甲双胍500毫克/ 二甲双胍1000毫克bid* |
安慰剂和二甲双胍 â‰每日1500毫克 |
西格列汀100mg QD和二甲双胍 â‰每日1500毫克 |
|
| N = 176 | N = 179 | N = 364 | N = 372 | N = 237 | N = 464 | |
|
||||||
| 腹泻 | 7 (4.0) | 5 (2.8) | 28日(7.7) | 28日(7.5) | 6 (2.5) | 11 (2.4) |
| 恶心想吐 | 2 (1.1) | 2 (1.1) | 20 (5.5) | 18 (4.8) | 2 (0.8) | 6 (1.3) |
| 呕吐 | 1 (0.6) | 0 (0.0) | 2 (0.5) | 8 (2.2) | 2 (0.8) | 5 (1.1) |
| 腹部疼痛一个€ | 4 (2.3) | 6 (3.4) | 14 (3.8) | 11 (3.0) | 9 (3.8) | 10 (2.2) |
西格列汀与二甲双胍、格列美脲的联合应用
在一项24周的安慰剂对照研究中,西格列汀100mg作为二甲双胍和格列美脲控制不足的2型糖尿病患者的附加治疗(西格列汀,N=116;安慰剂,N=113),不考虑研究者对因果关系的评估,在â‰- 5%的西格列汀治疗患者中报告的不良反应比安慰剂治疗患者更常见:低血糖(西格列汀,16.4%;安慰剂,0.9%)和头痛(6.9%,2.7%)。
西格列汀联合二甲双胍未观察到生命体征或心电图(包括QTc间期)有临床意义的变化。
在西格列汀单药治疗中最常见的不良经历(不考虑研究者对因果关系的评估)在â‰5%的患者中报告,比给予安慰剂的患者更常见的是鼻咽炎。
最常见的(> %)由于二甲双胍治疗开始的不良反应是腹泻、恶心/呕吐、胀气、腹部不适、消化不良、虚弱和头痛。
实验室测试
Sitagliptin
用西格列汀和二甲双胍治疗的患者的实验室不良反应发生率(7.6%)与用安慰剂和二甲双胍治疗的患者(8.7%)相似。在大多数但不是所有的研究中,白细胞计数有小幅增加(WBC与安慰剂相比大约200个细胞/微l的差异;由于中性粒细胞少量增加,观察到平均基线WBC约6600个细胞/微升。这种实验室参数的变化被认为与临床无关。
盐酸二甲双胍
在二甲双胍29周的对照临床试验中,先前正常的血清维生素B水平下降到低于正常水平12在约7%的患者中观察到无临床表现的水平。这种减少可能是由于B的干扰12从B的吸收12然而,-内在因子复合物很少与贫血相关,并且似乎可在停用二甲双胍或维生素B后迅速可逆12补充。(见警告和注意事项)
上市后经验
在批准后使用Janumet或西格列汀(Janumet的组成部分之一)期间发现了以下其他不良反应。由于这些反应是在规模不确定的人群中自愿报告的,因此通常不可能可靠地估计其发生频率或建立与药物接触的因果关系。
超敏反应包括过敏反应、血管性水肿、皮疹、荨麻疹、皮肤血管炎和剥脱性皮肤状况,包括Stevens-Johnson综合征[见雷竞技到底好不好用警告和注意事项];上呼吸道感染;肝酶升高;胰腺炎。
药物的相互作用
阳离子药物
经肾小管分泌消除的阳离子药物(如阿米洛利、地高辛、吗啡、普鲁卡因酰胺、奎尼丁、奎宁、雷尼替丁、曲安苯、甲氧苄啶或万古霉素)理论上有可能与二甲双胍相互作用,竞争常见的肾小管运输系统。在二甲双胍-西咪替丁单剂量和多剂量药物相互作用研究中,在正常健康志愿者中观察到二甲双胍和口服西咪替丁之间的这种相互作用,二甲双胍血浆和全血浓度峰值增加60%,血浆和全血二甲双胍AUC增加40%。在单剂量研究中,消除半衰期没有变化。二甲双胍对西咪替丁药代动力学无影响。虽然这种相互作用还只是理论上的(西咪替丁除外),但对于正在服用通过近端肾小管分泌系统排泄的阳离子药物的患者,建议仔细监测患者并调整Janumet和/或干扰药物的剂量。
地高辛
曲线下面积(AUC, 11%)和平均峰值药物浓度(C马克斯, 18%)的地高辛与100 mg西格列汀联合用药10天。这些增加被认为不太可能具有临床意义。地高辛作为一种阳离子药物,有可能与二甲双胍竞争常见的肾小管转运系统,从而影响地高辛、二甲双胍或两者的血清浓度。接受地高辛的患者应适当监测。不建议调整地高辛或Janumet的剂量。
格列本脲
在一项针对2型糖尿病患者的单剂量相互作用研究中,二甲双胍和格列本脲联合给药并未导致二甲双胍药代动力学或药理学发生任何变化。格列本脲AUC和C降低马克斯被观察到,但差异很大。本研究的单剂量性质和格列本脲血药水平与药效学效应之间缺乏相关性,使得这种相互作用的临床意义不确定。
呋喃苯胺酸
在健康受试者中进行的单剂量二甲双胍-速尿药物相互作用研究表明,这两种化合物的药代动力学参数受到联合给药的影响。速尿增加二甲双胍血浆和血C马克斯降低22%,血AUC降低15%,二甲双胍肾清除率无明显变化。当使用二甲双胍时,C马克斯速尿米的AUC和AUC分别比单独给药时小31%和12%,终末半衰期降低32%,但速尿米肾脏清除率无明显变化。没有关于二甲双胍和速尿长期联合用药时相互作用的信息。
硝苯地平
在正常健康志愿者中进行的一项单剂量二甲双胍-硝苯地平药物相互作用研究表明,同时给药硝苯地平可增加血浆二甲双胍C马克斯AUC分别提高了20%和9%,并增加了尿排泄量。T马克斯半衰期不受影响。硝苯地平似乎能增强二甲双胍的吸收。二甲双胍对硝苯地平的影响最小。
二甲双胍与其他药物的使用
某些药物容易产生高血糖,并可能导致血糖失控。这些药物包括噻嗪类药物和其他利尿剂、皮质类固醇、吩噻嗪类药物、甲状腺制品、雌激素、口服避孕药、苯妥英、烟酸、拟交感神经药物、钙通道阻断药物和异烟肼。当给接受Janumet的患者使用此类药物时,应密切观察患者,以维持适当的血糖控制。
在健康志愿者中,在单剂量相互作用研究中,二甲双胍和普萘洛尔以及二甲双胍和布洛芬的药代动力学不受影响。
二甲双胍与血浆蛋白的结合可以忽略,因此,与广泛与血清蛋白结合的磺酰脲类药物相比,二甲双胍不太可能与高度蛋白质结合的药物(如水杨酸酯、磺胺类药物、氯霉素和probenecid)相互作用。
特定人群使用
怀孕
B类妊娠:
Janumet
目前还没有针对孕妇服用Janumet或其单独成分的充分和良好对照研究;因此,Janumet对孕妇的安全性尚不清楚。只有在明确需要时,才能在怀孕期间使用Janumet。
默克公司(Merck & Co., Inc.)维护了一个注册表,以监测怀孕期间接触Janumet的妇女的妊娠结局。鼓励卫生保健提供者通过致电妊娠登记处(800)986-8999报告任何一月份的产前暴露。
今年1月,还没有对联合产品进行动物研究,以评估对生殖的影响。以下数据基于分别使用西格列汀或二甲双胍进行的研究结果。
Sitagliptin
已经在大鼠和兔子身上进行了生殖研究。西格列汀剂量高达125 mg/kg(大约是人体最大推荐剂量的12倍)不会损害生育能力或伤害胎儿。然而,目前还没有关于西格列汀在孕妇中的充分和良好对照研究。
从妊娠第6天到第20天(器官发生),西格列汀口服剂量为250 mg/kg(大鼠)和125 mg/kg(兔),或根据AUC比较,在最大推荐人类剂量(MRHD)为100 mg/天的情况下,约为人类暴露剂量的30倍和20倍,不会致畸。在1000毫克/公斤的高剂量下,后代肋骨畸形的发生率增加,大约是人类MRHD暴露剂量的100倍。
雌性大鼠妊娠第6天至哺乳期第21天服用西格列汀后,雄性和雌性后代体重在1000 mg/kg时均下降。在大鼠后代中未观察到功能或行为毒性。
西格列汀给孕大鼠的胎盘转移在给药后2小时约为45%,24小时约为80%。西格列汀给孕兔的胎盘移植2小时时约为66%,24小时时约为30%。
盐酸二甲双胍
二甲双胍剂量达到600mg /kg/d时,对大鼠和家兔无致畸作用。根据对大鼠和家兔的体表面积比较,这分别相当于人体每日最大推荐剂量(2000毫克)的2倍和6倍。胎儿浓度的测定表明,部分胎盘屏障二甲双胍。
哺乳期妇女
目前还没有对哺乳动物进行Janumet组合成分的研究。在对个别成分进行的研究中,西格列汀和二甲双胍都在哺乳期大鼠的乳汁中分泌。目前尚不清楚西格列汀是否通过人乳排出体外。由于许多药物会随乳汁排出体外,因此给哺乳期妇女服用Janumet时应谨慎。
儿童使用
Janumet在18岁以下儿科患者中的安全性和有效性尚未得到证实。
老年使用
Janumet
由于西格列汀和二甲双胍主要由肾脏排出,并且由于衰老可能与肾功能下降有关,随着年龄的增长,Janumet应谨慎使用。剂量选择应谨慎,并应以仔细和定期监测肾功能为基础。(见警告和注意事项;临床药理学)
Sitagliptin
在西格列汀II期和III期临床研究的受试者总数(N=3884)中,65岁及以上的患者有725例,75岁及以上的患者有61例。在65岁及以上的受试者和更年轻的受试者之间,没有观察到安全性或有效性的总体差异。虽然这项研究和其他临床经验报告没有确定老年患者和年轻患者之间的反应差异,但不能排除一些老年人的敏感性更高。
盐酸二甲双胍
二甲双胍的对照临床研究没有包括足够数量的老年患者,以确定他们的反应是否与年轻患者不同,尽管其他报道的临床经验没有确定老年患者和年轻患者之间的反应差异。二甲双胍只能用于肾功能正常的患者。在高龄患者中,二甲双胍的初始和维持剂量应该是保守的,因为这一人群的肾功能可能下降。任何剂量的调整都应基于对肾功能的仔细评估。(见禁忌症;警告和注意事项;而且临床药理学)
过量
Sitagliptin
在健康受试者的对照临床试验中,给予单剂量高达800mg西格列汀。在一项研究中,当剂量为800mg西格列汀时,QTc的最大平均增加为8.0 msec,这一平均效应被认为在临床上并不重要[见临床药理学].目前还没有在人体中使用超过800毫克剂量的经验。在I期多剂量研究中,西格列汀以每天400 mg的剂量持续28天,未观察到与剂量相关的临床不良反应。
在药物过量的情况下,合理地采用通常的支持措施,例如,从胃肠道中清除未吸收的物质,采用临床监测(包括获得心电图),并根据患者的临床状况进行支持治疗。
西格列汀可适度透析。在临床研究中,大约13.5%的剂量在3- 4小时的血液透析过程中被去除。如果临床合适,可以考虑延长血液透析时间。西格列汀是否可通过腹膜透析透析尚不清楚。
盐酸二甲双胍
过量服用盐酸二甲双胍,包括摄入超过50克。大约10%的病例报告了低血糖,但尚未建立与盐酸二甲双胍的因果关系。大约32%的二甲双胍过量病例报告了乳酸酸中毒[见警告和注意事项].二甲双胍可透析,在良好的血液动力学条件下,清除率可达170毫升/分钟。雷竞技到底好不好用因此,血液透析可能有助于从怀疑服用二甲双胍过量的患者中去除积聚的药物。
描述
Janumet(西格列汀/盐酸二甲双胍)片剂含有两种用于2型糖尿病管理的口服降糖药物:西格列汀和盐酸二甲双胍。
Sitagliptin
西格列汀是二肽基肽酶-4 (DPP-4)酶的口服活性抑制剂。西格列汀以磷酸一水合物的形式存在于Janumet片中。磷酸西格列汀一水合物化学描述为7 - [(3R) - 3 -氨基- 1 -氧- 4 -(2,4,5 -三氟苯基)丁基]- 5,6,7,8 -四氢- 3 -(三氟甲基)- 1,2,4 -三唑啉[4,3 - a]磷酸吡嗪(1:1)一水合物,经验公式为C16H15F6N5地3.阿宝4- h2O,分子量为523.32。结构公式为:

磷酸西格列汀是一种白色至灰白色的结晶性粉末,不吸湿。溶于水和N,N-二甲基甲酰胺;微溶于甲醇;极微溶于乙醇、丙酮和乙腈;不溶于异丙醇和乙酸异丙酯。
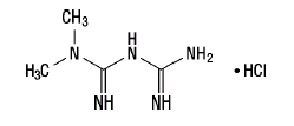
盐酸二甲双胍
盐酸二甲双胍(N,N-二甲氨基二胺盐酸盐)在化学上或药理学上与任何其他类别的口服降糖药无关。盐酸二甲双胍是一种白色到灰白色的结晶化合物,分子式为C4H11N5-HCl,分子量为165.63。盐酸二甲双胍易溶于水,几乎不溶于丙酮、乙醚和氯仿。的pK一个二甲双胍是12.4。盐酸二甲双胍1%水溶液的pH值为6.68。结构公式如下所示:

Janumet
Janumet为口服片剂,含有64.25 mg磷酸一水合物西格列汀和盐酸二甲双胍,相当于:50 mg西格列汀作为自由碱和500 mg盐酸二甲双胍(Janumet 50 mg/500 mg)或1000 mg盐酸二甲双胍(Janumet 50 mg/1000 mg)。Janumet的每片覆膜片都含有以下非活性成分:微晶纤维素、聚乙烯吡咯烷酮、月桂基硫酸钠和硬脂酰富马酸钠。此外,薄膜涂层含有以下非活性成分:聚乙烯醇、聚乙二醇、滑石粉、二氧化钛、红色氧化铁和黑色氧化铁。
临床药理学
作用机理
Janumet
Janumet联合了两种具有互补作用机制的抗高血糖药物,以改善2型糖尿病患者的血糖控制:西格列汀,一种二肽基肽酶-4 (DPP-4)抑制剂,和盐酸二甲双胍,一种双胍类药物。
Sitagliptin
西格列汀是一种DPP-4抑制剂,被认为是通过减缓肠促胰岛素激素的失活来发挥其作用于2型糖尿病患者。西格列汀增加了活性完整激素的浓度,从而增加和延长了这些激素的作用。肠促胰岛素激素,包括胰高血糖素样肽-1 (GLP-1)和葡萄糖依赖性胰岛素性多肽(GIP),在一天中由肠道释放,其水平随着一顿饭而升高。这些激素被DPP-4酶迅速灭活。肠促胰岛素是参与葡萄糖稳态生理调节的内源性系统的一部分。当血糖浓度正常或升高时,GLP-1和GIP通过涉及环AMP的细胞内信号通路增加胰岛素的合成和胰腺β细胞的释放,GLP-1还降低胰腺α细胞的胰高血糖素分泌,导致肝脏葡萄糖生成减少。西格列汀通过增加和延长活性肠促胰岛素水平,以葡萄糖依赖的方式增加胰岛素释放并降低循环中的胰高血糖素水平。西格列汀显示出对DPP-4的选择性,并且在接近治疗剂量的浓度下,不抑制DPP-8或DPP-9的活性。
盐酸二甲双胍
二甲双胍是一种抗高血糖药物,可改善2型糖尿病患者的糖耐量,降低基础血糖和餐后血糖。其药理作用机制不同于其他类型的口服降糖药。二甲双胍减少肝脏葡萄糖的产生,减少葡萄糖的肠道吸收,并通过增加外周葡萄糖的吸收和利用来改善胰岛素敏感性。与磺脲类药物不同,二甲双胍对2型糖尿病患者或正常人都不会产生低血糖(特殊情况除外)警告和注意事项]),不会引起高胰岛素血症。使用二甲双胍治疗,胰岛素分泌保持不变,而空腹胰岛素水平和全天血浆胰岛素反应实际上可能会降低。
12.2药效学
Sitagliptin
一般
在2型糖尿病患者中,西格列汀可抑制DPP-4酶活性24小时。口服葡萄糖负荷或餐后,这种DPP-4抑制导致循环中活性GLP-1和GIP水平增加2- 3倍,胰高血糖素浓度降低,胰岛素释放对葡萄糖的反应性增加,导致c肽和胰岛素浓度升高。胰岛素升高而胰高血糖素降低与空腹葡萄糖浓度降低和口服葡萄糖负荷或餐后葡萄糖漂移减少有关。
西格列汀和盐酸二甲双胍联合用药
在对健康受试者进行的为期两天的研究中,西格列汀单独增加了活性GLP-1浓度,而二甲双胍单独增加了活性和总GLP-1浓度,其程度相似。西格列汀和二甲双胍联合给药对活性GLP-1浓度有加性影响。西格列汀增加了活性GIP浓度,而二甲双胍没有。目前尚不清楚这些发现对2型糖尿病患者血糖控制的改变意味着什么。
在健康受试者的研究中,西格列汀没有降低血糖或引起低血糖。
心脏电生理学
在一项随机、安慰剂对照交叉研究中,79名健康受试者分别口服西格列汀100mg、西格列汀800mg(推荐剂量的8倍)和安慰剂。在推荐剂量为100 mg时,在峰值血浆浓度或研究期间的任何其他时间获得的QTc间隔没有影响。在800mg剂量后,安慰剂校正后3小时QTc平均变化较基线的最大增加为8.0 msec。这种增加被认为不具有临床意义。在800mg剂量下,西格列汀血浆浓度峰值大约是100mg剂量后峰值浓度的11倍。
在每天给予西格列汀100 mg (N=81)或西格列汀200 mg (N=63)的2型糖尿病患者中,基于预期血药浓度峰值时获得的ECG数据,QTc间隔无显著变化。
药物动力学
Janumet
在健康受试者中进行的生物等效性研究结果表明,Janumet(西格列汀/盐酸二甲双胍)50 mg/500 mg和50 mg/1000 mg联合片与相应剂量的西格列汀(JANUVIA)联合给药具有生物等效性™2)和盐酸二甲双胍单片。
吸收
Sitagliptin
西格列汀的绝对生物利用度约为87%。高脂肪餐与西格列汀联合给药对西格列汀的药代动力学没有影响。
盐酸二甲双胍
在空腹条件下给药的盐酸二甲双胍500毫克片剂的绝对生物利用度约为50-60%。雷竞技到底好不好用单次口服盐酸二甲双胍片剂500毫克至1500毫克和850毫克至2550毫克的研究表明,剂量与剂量增加之间缺乏比例关系,这是由于吸收减少而不是消除的改变。食物降低二甲双胍的吸收程度,并略微延迟二甲双胍的吸收,这表明大约40%的平均峰值血浆浓度降低(C马克斯),血浆浓度-时间曲线(AUC)下面积降低25%,到达血浆浓度峰值的时间延长35分钟(T马克斯),与空腹服用相同剂量的二甲双胍片剂相比,单片850mg二甲双胍片剂与食物一起服用。这些减少的临床相关性尚不清楚。
分布
Sitagliptin
健康受试者单次100毫克静脉注射西格列汀后稳定状态下的平均分布体积约为198升。西格列汀与血浆蛋白可逆结合的比例很低(38%)。
盐酸二甲双胍
单次口服盐酸二甲双胍片剂850 mg后,二甲双胍的表观分布体积(V/F)平均为654±358 l,与磺酰脲类药物90%以上的蛋白质结合相比,二甲双胍与血浆蛋白质结合可以忽略。二甲双胍进入红细胞,很可能是时间的函数。在盐酸二甲双胍片的通常临床剂量和给药计划中,二甲双胍的稳态血浆浓度在24-48小时内达到
新陈代谢
Sitagliptin
大约79%的西格列汀不加改变地随尿液排出,代谢是一种次要的消除途径。
遵循a [14C]西格列汀口服剂量,约16%的放射性作为西格列汀的代谢产物排出体外。6种代谢物被检测到微量水平,预计不会影响西格列汀的血浆DPP-4抑制活性。体外研究表明,导致西格列汀代谢受限的主要酶是CYP3A4,由CYP2C8贡献。
盐酸二甲双胍
在正常受试者中进行的单次静脉注射研究表明,二甲双胍以不变的方式随尿液排出,不进行肝脏代谢(在人类中未发现代谢物),也不进行胆道排泄。
排泄
Sitagliptin
口服[14C]西格列汀给健康受试者的剂量,在给药一周内,约100%的放射性在粪便(13%)或尿液(87%)中消除。视末端t1/2口服100 mg西格列汀约12.4小时,肾脏清除率约为350 mL/min。
西格列汀的消除主要通过肾脏排泄和活跃的肾小管分泌发生。西格列汀是人有机阴离子转运蛋白-3 (hOAT-3)的底物,它可能参与西格列汀的肾脏消除。hOAT-3在西格列汀转运中的临床意义尚未确定。西格列汀也是p-糖蛋白的底物,p-糖蛋白也可能参与介导西格列汀在肾脏中的消除。然而,环孢素,一种p-糖蛋白抑制剂,并没有减少西格列汀的肾脏清除率。
盐酸二甲双胍
肾脏清除率大约是肌酐清除率的3.5倍,这表明肾小管分泌是二甲双胍消除的主要途径。口服给药后,大约90%的被吸收药物在最初24小时内通过肾脏途径被消除,血浆消除半衰期约为6.2小时。在血液中,消除半衰期约为17.6小时,提示红细胞团块可能是一个间隔分布。
特殊人群
肾功能不全
Janumet
Janumet不应用于肾功能不全的患者禁忌症;警告和注意事项].
Sitagliptin
与正常健康对照组相比,中度肾功能不全患者西格列汀的血浆AUC增加了约2倍,严重肾功能不全患者(包括血液透析的ESRD患者)的AUC增加了约4倍。
盐酸二甲双胍
在肾功能下降的患者(基于测量的肌酐清除率),二甲双胍的血浆和血液半衰期延长,肾脏清除率与肌酐清除率的降低成正比。
肝功能不全
Sitagliptin
中度肝功能不全(Child-Pugh评分7 ~ 9分)患者,平均AUC和C马克斯与健康匹配对照相比,在给予单次100mg剂量西格列汀后,西格列汀的死亡率分别增加了约21%和13%。这些差异被认为没有临床意义。
严重肝功能不全患者无临床经验(Child-Pugh评分>9)。
盐酸二甲双胍
目前尚无二甲双胍在肝功能不全患者中的药代动力学研究。
性别
Sitagliptin
基于I期药代动力学数据的综合分析以及I期和II期数据的人群药代动力学分析,性别对西格列汀的药代动力学没有临床意义的影响。
盐酸二甲双胍
根据性别分析,二甲双胍药代动力学参数在正常受试者和2型糖尿病患者之间无显著差异。同样,在2型糖尿病患者的对照临床研究中,二甲双胍的降糖效果在男性和女性中是相当的。
老年
Sitagliptin
当考虑年龄对肾功能的影响时,基于人群药代动力学分析,年龄本身对西格列汀的药代动力学没有临床意义的影响。老年受试者(65 - 80岁)西格列汀血浆浓度比年轻受试者高约19%。
盐酸二甲双胍
二甲双胍在健康老年受试者中的对照药代动力学研究的有限数据表明,二甲双胍的血浆总清除率降低,半衰期延长,C马克斯与健康的年轻受试者相比从这些数据来看,二甲双胍药代动力学随年龄的变化似乎主要是由肾功能的变化引起的(见GLUCOPHAGE)3.处方信息:临床药理学、特殊人群、老年病学)。
≥80岁的患者不应开始使用Janumet治疗,除非肌酐清除率测量显示肾功能未降低[见警告和注意事项].
儿科
目前还没有针对儿科患者的Janumet研究。
比赛
Sitagliptin
基于现有药代动力学数据的综合分析,包括白人、西班牙裔、黑人、亚裔和其他种族的受试者,种族对西格列汀的药代动力学没有临床意义的影响。
盐酸二甲双胍
没有针对种族的二甲双胍药代动力学参数的研究。在二甲双胍治疗2型糖尿病患者的对照临床研究中,白人(n=249)、黑人(n=51)和西班牙裔(n=24)的降糖效果相当。
体质指数(BMI)
Sitagliptin
基于I期药代动力学数据的综合分析以及I期和II期数据的人群药代动力学分析,体重指数对西格列汀的药代动力学无临床意义。
药物的相互作用
西格列汀和盐酸二甲双胍
同时给予多剂量西格列汀(50 mg)和二甲双胍(1000 mg),每天两次,对西格列汀或二甲双胍在2型糖尿病患者中的药代动力学没有显著改变。
尚未进行与Janumet的药代动力学药物相互作用研究;然而,这类研究是针对Janumet的单个成分(西格列汀和盐酸二甲双胍)进行的。
Sitagliptin
药物相互作用的体外评估
西格列汀不是CYP同工酶CYP3A4、2C8、2C9、2D6、1A2、2C19或2B6的抑制剂,也不是CYP3A4的诱导剂。西格列汀是一种p-糖蛋白底物,但不抑制p-糖蛋白介导的地高辛转运。基于这些结果,西格列汀被认为不太可能与其他利用这些途径的药物相互作用。
西格列汀不能广泛地与血浆蛋白结合。因此,西格列汀参与由血浆蛋白结合位移介导的有临床意义的药物-药物相互作用的倾向非常低。
药物相互作用的体内评估
西格列汀对其他药物的影响
在临床研究中,如下所述,西格列汀没有显著改变二甲双胍、格列本脲、辛伐他汀、罗格列酮、华法林或口服避孕药的药代动力学,在体内提供了证据,证明其与CYP3A4、CYP2C8、CYP2C9和有机阳离子转运体(OCT)底物的低倾向相互作用。
地高辛:西格列汀对地高辛的药代动力学影响很小。在每天给予0.25 mg地高辛和100 mg西格列汀10天后,地高辛的血浆AUC增加了11%,血浆C马克斯了18%。
磺脲类药物:格列本脲(CYP2C9底物)的单剂量药代动力学在接受多剂量西格列汀的受试者中没有显著改变。与其他磺酰脲类药物(如格列吡嗪、甲苯丁胺和格列美脲)在临床上不会发生有意义的相互作用,这些药物与格列本脲一样,主要由CYP2C9消除[见警告和注意事项].
辛伐他汀:CYP3A4底物辛伐他汀的单剂量药代动力学在接受每日多次剂量西格列汀的受试者中没有显著改变。因此,西格列汀不是cyp3a4介导代谢的抑制剂。
噻唑烷二酮类:罗格列酮的单剂量药代动力学在接受多剂量西格列汀的受试者中没有显著改变,表明西格列汀不是cyp2c8介导代谢的抑制剂。
华法林:通过测定S(-)或R(+)华法林对映体,或单剂量华法林的药理学(通过测定凝血酶原INR评估),多次日剂量西格列汀没有显著改变药代动力学。由于S(-)华法林主要由CYP2C9代谢,这些数据也支持西格列汀不是CYP2C9抑制剂的结论。
口服避孕药:与西格列汀联合给药并没有显著改变去甲肾上腺素或乙炔雌二醇的稳态药代动力学。
其他药物对西格列汀的影响
下面描述的临床数据表明,西格列汀不容易受到联合给药的临床有意义的相互作用。
环孢素:一项研究评估了环孢素对西格列汀药代动力学的影响,环孢素是一种有效的p-糖蛋白抑制剂。单剂量口服西格列汀100mg和单剂量口服环孢素600mg可增加AUC和C马克斯西格列汀分别减少了29%和68%西格列汀药代动力学的这些轻微变化被认为没有临床意义。西格列汀的肾脏清除率也没有显著改变。因此,不期望与其他p-糖蛋白抑制剂有意义的相互作用。
盐酸二甲双胍
(见药物的相互作用]
临床前毒理学
致癌,突变,生育力损害
Janumet
在一月份,还没有对联合产品进行动物研究,以评估致癌、突变或生育力损害。以下数据基于分别使用西格列汀和二甲双胍的研究结果。
Sitagliptin
一项为期两年的致癌性研究对雄性和雌性大鼠进行了口服西格列汀50、150和500 mg/kg/天的研究。在500 mg/kg剂量下,男性和女性合并肝腺瘤/癌的发病率增加,女性肝癌的发病率增加。根据AUC比较,该剂量相当于成人每日最大推荐剂量(MRHD) 100毫克/天的人体暴露量的约60倍。在150 mg/kg剂量下未观察到肝脏肿瘤,大约是人类MRHD剂量的20倍。一项为期两年的致癌性研究对雄性和雌性小鼠进行了口服西格列汀50、125、250和500 mg/kg/天的研究。任何器官的肿瘤发生率在500 mg/kg时都没有增加,大约是人类MRHD暴露的70倍。在Ames细菌致突变性试验、中国仓鼠卵巢(CHO)染色体畸变试验、CHO体外细胞遗传学试验、体外大鼠肝细胞DNA碱性洗脱试验和体内微核试验中,西格列汀无论有无代谢激活都不具有诱变性或致裂性。
在大鼠生育能力研究中,口服灌胃剂量为125、250和1000 mg/kg,雄性在交配前4周,交配期间,直到预定终止(大约总共8周),雌性在交配前2周到妊娠第7天进行治疗。未观察到125 mg/kg对生育能力的不良影响(根据AUC比较,MRHD为100 mg/天时,约为人类暴露量的12倍)。在较高剂量下,观察到女性非剂量相关的吸收增加(根据AUC比较,MRHD约为人类暴露的25倍和100倍)。
盐酸二甲双胍
在大鼠(给药持续时间为104周)和小鼠(给药持续时间为91周)中进行了剂量分别为900 mg/kg/天和1500 mg/kg/天的长期致癌性研究。根据体表面积比较,这两种剂量大约是人体每日最大推荐剂量(2000毫克)的4倍。在雄性或雌性小鼠中均未发现二甲双胍致癌性的证据。同样,在雄性大鼠中二甲双胍没有观察到致瘤潜力。然而,雌性大鼠在900 mg/kg/天的剂量下,良性间质子宫息肉的发生率增加。
在以下体外试验中,没有证据表明二甲双胍具有诱变潜力:Ames试验(鼠伤寒沙门氏菌)、基因突变试验(小鼠淋巴瘤细胞)或染色体畸变试验(人淋巴细胞)。体内小鼠微核试验结果也为阴性。当二甲双胍的剂量高达600毫克/公斤/天时,雄性或雌性大鼠的生育能力不受影响,这大约是基于体表面积比较的人类每日最大推荐剂量的三倍。
临床研究
西格列汀和二甲双胍联合应用于饮食和运动控制不充分的2型糖尿病患者,并联合格列美脲。
Janumet尚未进行临床疗效研究;然而,证明了Janumet与西格列汀和盐酸二甲双胍片的生物等效性。
西格列汀和二甲双胍联合应用于饮食和运动控制不充分的2型糖尿病患者
共有1091例饮食和运动血糖控制不足的2型糖尿病患者参加了一项24周、随机、双盲、安慰剂对照的因子研究,旨在评估西格列汀和二甲双胍联合给药的疗效。服用降糖药的患者(N=541)经历了长达12周的饮食、运动和药物洗脱期。洗脱期后,血糖控制不佳(糖化血红蛋白7.5%至11%)的患者在完成2周单盲安慰剂磨合期后随机分组。在研究开始时未使用降糖药的患者(N=550),血糖控制不佳(A1C 7.5%至11%),立即进入2周单盲安慰剂磨合期,然后随机分组。大约同等数量的患者随机接受安慰剂,100 mg西格列汀每日1次,500 mg或1000 mg二甲双胍每日2次,或50 mg西格列汀每日2次联合500 mg或1000 mg二甲双胍每日2次。在研究期间未能达到特定血糖目标的患者接受格列本脲(格列本脲)抢救。
与安慰剂组、单用二甲双胍组和单用西格列汀组相比,西格列汀和二甲双胍联合用药可显著改善A1C、FPG和2小时PPG(表3,图1)。基线A1C值较高的患者A1C的平均降低通常更大。对于在研究开始时未使用抗高血糖药物的患者,A1C较基线的平均降低为:西格列汀100mg,每日一次,-1.1%;二甲双胍500 mg bid, -1.1%;二甲双胍1000 mg bid, -1.2%;西格列汀50 mg bid与二甲双胍500 mg bid, -1.6%;西格列汀50 mg bid与二甲双胍1000 mg bid, -1.9%;而接受安慰剂的患者,-0.2%。脂质影响一般是中性的。西格列汀联合二甲双胍组的体重下降与单用二甲双胍组或安慰剂组相似。
表3:饮食和运动控制不充分的2型糖尿病患者最终访视时(24周研究)西格列汀和二甲双胍单独或联合使用的血糖参数*
安慰剂 |
Sitagliptin 100 mg QD |
二甲双胍 500毫克bid |
二甲双胍 1000毫克bid |
Sitagliptin 50mg bid + 二甲双胍 500毫克bid |
Sitagliptin 50mg bid + 二甲双胍 1000毫克bid |
|
|
||||||
| 糖化血红蛋白(%) | N = 165 | N = 175 | N = 178 | N = 177 | N = 183 | N = 178 |
| 基线(平均) | 8.7 | 8.9 | 8.9 | 8.7 | 8.8 | 8.8 |
| 基线变化(调整平均值一个€) | 0.2 | -0.7 | -0.8 | -1.1 | -1.4 | -1.9 |
| 与安慰剂的差异(调整后的平均值一个€) (95%置信区间) |
-0.8c (-1.1, -0.6) |
-1.0c (-1.2, -0.8) |
-1.3c (-1.5, -1.1) |
-1.6c (-1.8, -1.3) |
-2.1c (-2.3, -1.8) |
|
| A1C <7%的患者(%) | 15 (9%) | 35 (20%) | 41 (23%) | 68例(38%) | 79例(43%) | 118例(66%) |
| %接受抢救药物治疗的患者 | 32 | 21 | 17 | 12 | 8 | 2 |
| 台塑(mg / dL) | N = 169 | N = 178 | N = 179 | N = 179 | N = 183 | N = 180 |
| 基线(平均) | 196 | 201 | 205 | 197 | 204 | 197 |
| 基线变化(调整平均值一个€) | 6 | -17年 | -27年 | -29年 | -47年 | -64年 |
| 与安慰剂的差异(调整后的平均值一个€) (95%置信区间) |
-23年c (-33, -14) |
-33年c (-43, -24) |
-35年c (-45, -26) |
-53年c (-62, -43) |
-70年c (-79, -60) |
|
| 2小时PPG (mg/dL) | N = 129 | N = 136 | N = 141 | N = 138 | N = 147 | N = 152 |
| 基线(平均) | 277 | 285 | 293 | 283 | 292 | 287 |
| 基线变化(调整平均值一个€) | 0 | -52年 | -53年 | -78年 | -93年 | -117年 |
| 与安慰剂的差异(调整后的平均值一个€) (95%置信区间) |
-52年c (-67, -37) |
-54年c (-69, -39) |
-78年c (-93, -63) |
-93年c (-107, -78) |
-117年c (-131, -102) |
|

图1:饮食控制不充分的2型糖尿病患者,单独或联合西格列汀和二甲双胍24周内A1C的平均变化(%)Exerciseâ€
此外,本研究纳入了更严重高血糖(A1C >11%或血糖>280 mg/dL)的患者(N=117),他们接受每日两次的开放标签西格列汀50 mg和二甲双胍1000 mg的治疗。本组患者平均基线A1C值为11.2%,平均FPG为314 mg/dL,平均2小时PPG为441 mg/dL。24周后,观察到A1C较基线平均下降-2.9%,FPG为-127 mg/dL, 2小时PPG为-208 mg/dL。
最初的联合治疗或联合治疗的维持应该是个体化的,由卫生保健提供者自行决定。
西格列汀附加疗法在二甲双胍单独控制不足的2型糖尿病患者中的应用
共有701例2型糖尿病患者参与了一项24周、随机、双盲、安慰剂对照研究,旨在评估西格列汀联合二甲双胍的疗效。已经服用二甲双胍(N=431)剂量至少为1500mg / d的患者在完成2周单盲安慰剂磨合期后被随机化。使用二甲双胍和另一种抗高血糖药物的患者(N=229)和未使用任何抗高血糖药物的患者(至少停止治疗8周,N=41)在使用二甲双胍(剂量至少为每天1500 mg)约10周的磨合期后被随机分配。患者随机加入100毫克西格列汀或安慰剂,每日一次。在研究期间未能达到特定血糖目标的患者接受吡格列酮抢救治疗。
与二甲双胍安慰剂组相比,西格列汀联合二甲双胍可显著改善A1C、FPG和2小时PPG(表4)。100 mg西格列汀组5%的患者使用救救性升糖治疗,安慰剂组14%。两个治疗组的体重都有类似的下降。
表4:西格列汀加在二甲双胍联合治疗中的最终访视(24周研究)血糖参数
| 西格列汀100mg QD +二甲双胍 |
安慰剂 +二甲双胍 |
|
|
||
| 糖化血红蛋白(%) | N = 453 | N = 224 |
| 基线(平均) | 8.0 | 8.0 |
| 基线变化(调整平均值一个€) | -0.7 | -0.0 |
| 与安慰剂+二甲双胍的差异(调整后的平均值一个€) (95%置信区间) |
-0.7c (-0.8, -0.5) |
|
| A1C <7%的患者(%) | 213例(47%) | 41 (18%) |
| 台塑(mg / dL) | N = 454 | N = 226 |
| 基线(平均) | 170 | 174 |
| 基线变化(调整平均值一个€) | -17年 | 9 |
| 与安慰剂+二甲双胍的差异(调整后的平均值一个€) (95%置信区间) |
-25年c (-31, -20) |
|
| 2小时PPG (mg/dL) | N = 387 | N = 182 |
| 基线(平均) | 275 | 272 |
| 基线变化(调整平均值一个€) | -62年 | -11年 |
| 与安慰剂+二甲双胍的差异(调整后的平均值一个€) (95%置信区间) |
-51年c (-61, -41) |
|
西格列汀附加疗法在二甲双胍和格列美脲联合应用控制不足的2型糖尿病患者中的应用
共有441例2型糖尿病患者参与了一项24周、随机、双盲、安慰剂对照研究,旨在评估西格列汀联合格列美脲(与二甲双胍联合或不联合)的疗效。患者进入格列美脲(≥4 mg / day)单独或格列美脲联合二甲双胍(≥1500 mg / day)的磨合期。在长达16周的剂量滴定和剂量稳定磨合期和2周安慰剂磨合期后,血糖控制不佳(A1C 7.5%至10.5%)的患者被随机分为100 mg西格列汀组或安慰剂组,每日一次。在研究期间未能达到特定血糖目标的患者接受吡格列酮抢救治疗。
接受西格列汀联合二甲双胍和格列美脲的患者与接受二甲双胍和格列美脲安慰剂的患者相比,A1C和FPG有显著改善(表5),相对于安慰剂,A1C平均降低-0.9%,FPG平均降低-21 mg/dL。8%的西格列汀100mg组患者使用抢救治疗,29%的患者使用附加安慰剂。与附加安慰剂相比,附加西格列汀治疗的患者体重平均增加1.1 kg (+0.4 kg vs. -0.7 kg)。此外,与添加安慰剂相比,添加西格列汀导致低血糖率增加。(见警告和注意事项;不良反应)
表5:西格列汀联合二甲双胍和格列美脲最终访视(24周研究)的血糖参数*
| 西格列汀100毫克 +二甲双胍 和Glimepiride |
安慰剂 +二甲双胍 和Glimepiride |
|
|
||
| 糖化血红蛋白(%) | N = 115 | N = 105 |
| 基线(平均) | 8.3 | 8.3 |
| 基线变化(调整平均值一个€) | -0.6 | 0.3 |
| 与安慰剂的差异(调整后的平均值一个€) (95% ci) | -0.9c (-1.1, -0.7) |
|
| A1C <7%的患者(%) | 26 (23%) | 1 (1%) |
| 台塑(mg / dL) | N = 115 | N = 109 |
| 基线(平均) | 179 | 179 |
| 基线变化(调整平均值一个€) | 8 | 13 |
| 与安慰剂的差异(调整后的平均值一个€) (95% ci) | -21年c (-32, -10) |
|
二甲双胍控制不充分的2型糖尿病患者西格列汀附加疗法vs.格列吡嗪附加疗法
西格列汀的疗效是在一项52周、双盲、格列吡嗪对照的非劣效性试验中评估的。未接受治疗或使用其他抗高血糖药物的患者采用二甲双胍单药治疗(剂量≥1500 mg /天)进入长达12周的磨合期,其中包括二甲双胍以外药物的冲洗(如适用)。在适应期后,那些血糖控制不充分(糖化血红蛋白6.5%至10%)的患者被随机1:1加入西格列汀100 mg,每日一次或格列吡嗪,持续52周。接受格列吡嗪治疗的患者初始剂量为5mg /天,然后在接下来的18周内选择性滴定至所需的最大剂量20mg /天,以优化血糖控制。此后,格列吡嗪剂量保持不变,除降低剂量以防低血糖外。滴定期后格列吡嗪的平均剂量为10 mg。
52周后,在意向治疗分析中,西格列汀和格列吡嗪的A1C平均较基线降低幅度相似(表6)。这些结果与每个方案分析一致(图2)。支持西格列汀相对于格列吡嗪具有非劣势性的结论可能仅限于与研究中纳入的患者相当的基线A1C患者(超过70%的患者基线A1C <8%,超过90%的患者A1C <9%)。
表6:比较西格列汀和格列吡嗪作为二甲双胍控制不足患者的附加治疗的52周研究的血糖参数(意向治疗人群)*
| 西格列汀100毫克 +二甲双胍 |
格列吡嗪 +二甲双胍 |
|
|
||
| 糖化血红蛋白(%) | N = 576 | N = 559 |
| 基线(平均) | 7.7 | 7.6 |
| 基线变化(调整平均值一个€) | -0.5 | -0.6 |
| 台塑(mg / dL) | N = 583 | N = 568 |
| 基线(平均) | 166 | 164 |
| 基线变化(调整平均值一个€) | 8 | 8 |

图2:在一项比较二甲双胍控制不充分的患者西格列汀和格列吡嗪作为附加疗法的研究中,52周内A1C从基线的平均变化(%)â€
西格列汀组低血糖发生率(4.9%)显著(p<0.001)低于格列吡嗪组(32.0%)。与格列吡嗪组体重显著增加相比,西格列汀组体重较基线显著下降(-1.5 kg vs. +1.1 kg)。
如何提供
6747 - Janumet片剂,50毫克/500毫克,淡粉色,胶囊状,膜包片剂,一面有“575”字样。它们的供应如下:
NDC 0006-0575-61使用单位瓶60瓶
NDC 0006-0575-62使用单位瓶180
NDC 0006-0575-52单位剂量泡罩包装50个
NDC 0006-0575-82散装瓶1000。
6749 - Janumet片剂,50毫克/1000毫克,红色,胶囊状,膜包片剂,一面有“577”字样。它们的供应如下:
NDC 0006-0577-61使用单位瓶60瓶
NDC 0006-0577-62使用单位瓶180
NDC 0006-0577-52单位剂量泡罩包装50个
NDC 0006-0577-82散装瓶1000瓶。
储存在20-25°C(68-77°F),允许短途至15-30°C(59-86°F)。
患者咨询信息
指令
患者应被告知Janumet的潜在风险和益处以及其他治疗模式。他们还应该被告知遵守饮食指导、定期体育活动、定期血糖监测和A1C检测、低血糖和高血糖的识别和管理以及糖尿病并发症评估的重要性。在发烧、创伤、感染或手术等紧张时期,药物需求可能会发生变化,应建议患者及时寻求医疗建议。
二甲双胍成分引起的乳酸性酸中毒的风险,其症状和易导致其发展的条件,如中所述雷竞技到底好不好用警告和注意事项,应向患者解释。如果出现不明原因的换气过度、肌痛、不适、不寻常的嗜睡、头晕、心跳缓慢或不规则、感觉寒冷(特别是四肢)或其他非特异性症状,应建议患者立即停止使用Janumet,并立即通知他们的保健医生。胃肠道症状在二甲双胍治疗开始时很常见,在Janumet治疗开始时也可能发生;然而,如果出现无法解释的症状,患者应咨询医生。虽然稳定后出现的胃肠道症状不太可能与药物有关,但这种症状的出现应进行评估,以确定是否可能是由于乳酸酸中毒或其他严重疾病。
在接受Janumet治疗期间,应建议患者不要过度饮酒,无论是急性还是慢性。
在接受Janumet治疗时,应告知患者定期检测肾功能和血液学参数的重要性。
应告知患者,在上市后使用西格列汀(Janumet的组成部分之一)期间已报告过敏反应。如果出现过敏反应的症状(包括皮疹、荨麻疹,以及可能导致呼吸或吞咽困难的面部、嘴唇、舌头和喉咙肿胀),患者必须停止服用Janumet,并立即寻求医生的建议。
医生应指导患者在开始1月治疗前阅读患者包装说明书,并在每次更新处方时重新阅读。如果患者出现任何异常症状,或任何已知症状持续或恶化,应指示患者告知他们的医生或药剂师。
实验室测试
应通过定期测量血糖和糖化血红蛋白水平来监测对所有糖尿病治疗的反应,目标是将这些水平降低到正常范围。糖化血红蛋白对评估长期血糖控制特别有用。
应至少每年对血液学参数(如血红蛋白/红细胞压积和红细胞指数)和肾功能(血清肌酐)进行初始和定期监测。虽然使用二甲双胍治疗巨幼细胞性贫血很少出现,但如果怀疑存在这种情况,则应排除维生素B12缺乏症。
分布:
默克公司,美国新泽西州怀特豪斯站08889
9794108
美国专利号: 6699871
1 MERCK & CO., Inc.注册商标,Whitehouse Station, New Jersey 08889 USA
2 MERCK & CO., Inc.商标,Whitehouse Station, New Jersey 08889 USA
3GLUCOPHAGE®是Merck Sante s.a.的注册商标,该公司是德国达姆施塔特Merck KGaA的联属公司。
授权给百时美施贵宝公司。
版权所有©2007,2008默克公司
版权所有
fda批准的患者标签
患者信息
Janumet®(JAN-you-met)
(sitagliptin /盐酸二甲双胍)
平板电脑
在你开始服用它之前,请阅读Janumet1附带的患者信息,每次你都可以补充。可能会有新的信息。这张传单并不能代替你与医生谈论你的医疗状况或治疗方法。
关于Janumet我应该知道的最重要的信息是什么?
盐酸二甲双胍是Janumet的成分之一,它会导致一种罕见但严重的副作用,称为乳酸性酸中毒(血液中乳酸的积聚),可导致死亡。乳酸性酸中毒是一种医疗紧急情况,必须在医院治疗。
如果您出现以下任何乳酸性酸中毒症状,请立即停止服用Janumet并打电话给您的医生:
- 你感到非常虚弱和疲惫。
- 你有不寻常的(不是正常的)肌肉疼痛。
- 你呼吸困难。
- 你有不明原因的胃或肠道问题,如恶心、呕吐或腹泻。
- 你觉得冷,尤其是胳膊和腿。
- 你感到头晕或头昏。
- 你的心跳缓慢或不规则。
如果你有以下情况,你有更高的机会患上乳酸性酸中毒:
- 有肾脏问题。
- 有肝脏问题。
- 患有充血性心力衰竭,需要药物治疗。
- 大量饮酒(经常或短期的“豪饮”)。
- 脱水(失去大量体液)。如果你发烧、呕吐或腹泻,就会出现这种情况。当你在活动或运动中大量出汗而没有摄入足够的液体时,也会发生脱水。
- 用可注射染料或造影剂做x光检查。
- 有手术。
- 心脏病发作、严重感染或中风。
- 年龄在80岁或以上,没有做过肾功能检查。
一月是什么?
Janumet片剂包含两种处方药,西格列汀(JANUVIA™2)和二甲双胍。Janumet可以与饮食和运动一起使用,以降低成年2型糖尿病患者的血糖。你的医生将确定Janumet是否适合你,并将确定开始和继续治疗糖尿病的最佳方式。
Janumet:
- 有助于提高餐后胰岛素水平。
- 帮助身体对自然产生的胰岛素做出更好的反应。
- 减少身体产生糖的量。
- 单独服用治疗高血糖时,不太可能引起低血糖(低血糖)。
Janumet尚未在18岁以下儿童中进行研究。
Janumet还没有与胰岛素一起进行研究,胰岛素是一种已知会导致低血糖的药物。
谁不应该带Janumet?
如果你:
- 患有1型糖尿病。
- 有某些肾脏问题。
- 患有代谢性雷竞技到底好不好用酸中毒或糖尿病酮症酸中毒(血液或尿液中酮增多)。
- 对Janumet或西格列汀(JANUVIA)有过敏反应,西格列汀是Janumet的成分之一。
- 为了x光检查而注射染料或造影剂,Janumet需要停药一段时间。告诉你的医生什么时候停止Janumet,什么时候重新开始。参见“关于Janumet我应该知道的最重要的信息是什么?”
在Janumet治疗之前和治疗期间,我应该告诉我的医生什么?
Janumet可能不适合你。告诉你的医生你所有的健康状况,包括:雷竞技到底好不好用
- 有肾脏问题。
- 有肝脏问题。
- 对Janumet或西格列汀(JANUVIA)有过敏反应,西格列汀是Janumet的成分之一。
- 有心脏问题,包括充血性心力衰竭。
- 都超过80岁了。80岁以上的患者不应服用Janumet,除非他们的肾功能检查正常。
- 大量饮酒(一直或短期的“豪饮”)。
- 正在怀孕或计划怀孕。目前还不知道Janumet是否会伤害你未出生的孩子。如果你怀孕了,和你的医生谈谈在怀孕期间控制血糖的最佳方法。如果您在怀孕期间使用Janumet,请与您的医生讨论如何在Janumet注册。怀孕登记的免费电话号码是1-800-986-8999。
- 正在哺乳或计划哺乳。尚不清楚Janumet是否会进入你的母乳。如果您正在服用Janumet,请与您的医生讨论喂养宝宝的最佳方式。
告诉你的医生你服用的所有药物,包括处方药和非处方药、维生素和草药补充剂。Janumet可能会影响其他药物的效果,有些药物也会影响Janumet的效果。
了解你服用的药物。保留你的药物清单,当你得到一种新药时,向你的医生和药剂师出示。在你开始服用任何新药之前,请咨询你的医生。
我该怎么吃珍妮特?
- 你的医生会告诉你该吃多少片,多久吃一次。照医生说的服用“一月美”。
- 你的医生可能需要增加你的剂量来控制血糖。
- 你的医生可能会给你开Janumet和磺酰脲类药物(另一种降低血糖的药物)。有关低血糖风险增加的信息,请参见“Janumet可能的副作用是什么?”
- 进餐时服用Janumet可以降低胃部不适的几率。
- 只要你的医生告诉你,你就继续服用一月美。
- 如果你服用了过量的Janumet,请立即打电话给你的医生或中毒控制中心。
- 如果你漏服了一剂,一旦你想起来,就随食物服用。如果你不记得,直到下一次剂量的时候,跳过错过的剂量,回到正常的时间表。不要同时服用两剂Janumet。
- 你可能需要在短时间内停止服用Janumet。如有下列情况,请致电医生寻求指导:
- 脱水(失去了太多的体液)。如果你有严重的呕吐、腹泻或发烧,或者你喝的液体比正常情况少得多,就会发生脱水。
- 计划做手术。
- 都要注射染料或造影剂做x光检查。
参见“关于Janumet我应该知道的最重要的信息是什么?”和“谁不应该带Janumet?”
- 当你的身体处于某些类型的压力下,如发烧、创伤(如车祸)、感染或手术,你需要的糖尿病药物的数量可能会改变。如果你有这些情况,立即告诉你的医生,并遵照医生的指示。雷竞技到底好不好用
- 按照医生的要求监测你的血糖。
- 在服用Janumet的同时,坚持你规定的饮食和锻炼计划。
- 和你的医生谈谈如何预防、识别和处理低血糖(低血糖)、高血糖(高血糖)和糖尿病并发症。
- 你的医生会通过定期的血液检查来监测你的糖尿病,包括你的血糖水平和糖化血红蛋白。
- 你的医生会在Janumet治疗前和治疗期间做血液测试来检查你的肾功能。
Janumet可能有什么副作用?
Janumet会引起严重的副作用。参见“关于Janumet我应该知道的最重要的信息是什么?”
服用Janumet时常见的副作用包括:
- 鼻塞或流鼻涕,喉咙痛
- 上呼吸道感染
- 腹泻
- 恶心呕吐
- 胀气,肠胃不适,消化不良
- 弱点
- 头疼
进餐时服用Janumet有助于减少二甲双胍通常在治疗开始时发生的常见胃部副作用。如果你有不寻常的或意想不到的胃病,和你的医生谈谈。治疗后期出现的胃部问题可能是更严重的症状。
某些糖尿病药物,如磺酰脲类药物和甲格利氨酯类药物,可导致低血糖。当Janumet与这些药物一起使用时,你可能会有血糖过低。你的医生可能会给你开低剂量的磺脲类或甲格利亚胺类药物。如果你有低血糖的问题,告诉你的医生。
在Janumet或西格列汀的一般使用中,报告了以下其他副作用:
- Janumet或西格列汀(Janumet的一种药物)可能会发生严重的过敏反应。严重过敏反应的症状可能包括皮疹、荨麻疹、面部、嘴唇、舌头和喉咙肿胀、呼吸或吞咽困难。如果你有过敏反应,停止服用Janumet,并立即打电话给你的医生。你的医生可能会开一种药物来治疗你的过敏反应,并为你的糖尿病开一种不同的药物。
- 肝酶升高。
- 胰脏发炎
这些并不是Janumet的所有副作用。要了解更多信息,请咨询你的医生。
告诉你的医生,如果你有任何副作用困扰你,是不寻常的,或没有消失。
我应该如何储存Janumet?
在室温下,68-77°F(20-25°C)储存。
将Janumet和所有药物放在儿童够不到的地方。
关于Janumet使用的一般信息
有时医生会为病人资料单张上没有提到的病症开药方。雷竞技到底好不好用在没有处方的情况下不要使用Janumet。不要把Janumet给其他人,即使他们有与你相同的症状。这可能会伤害他们。
这张传单总结了关于Janumet最重要的信息。如果你想了解更多信息,可以和你的医生谈谈。你可以向你的医生或药剂师询问有关Janumet的信息,这些信息是写给健康专业人士的。更多信息请拨打1-800-622-4477。
一月有什么成分?
有效成分:西格列汀、盐酸二甲双胍。
非活性成分:微晶纤维素、聚乙烯基吡咯烷酮、月桂基硫酸钠、硬脂酰富马酸钠。该片剂薄膜涂层含有以下非活性成分:聚乙烯醇、聚乙二醇、滑石粉、二氧化钛、红色氧化铁和黑色氧化铁。
什么是2型糖尿病?
2型糖尿病是一种你的身体不能产生足够的胰岛素,你的身体产生的胰岛素不能正常工作的情况。你的身体也会产生过多的糖。当这种情况发生时,糖(葡萄糖)在血液中积聚。这可能会导致严重的医疗问题。
治疗糖尿病的主要目标是将血糖降低到正常水平。降低和控制血糖有助于预防或延缓糖尿病并发症,如心脏问题、肾脏问题、失明和截肢。
高血糖可以通过饮食和运动来降低,必要时还可以服用某些药物。
2009年3月
分布:
默克公司,美国新泽西州怀特豪斯站08889
最后更新:03月09日
本专著中的信息不打算涵盖所有可能的用途、方向、预防措施、药物相互作用或不良反应。此信息是概括性的,不打算作为具体的医疗建议。如果您对正在服用的药物有疑问或想了解更多信息,请咨询您的医生、药剂师或护士。
APA的参考
Staff, H.(2009年3月2日),《糖尿病治疗1月-全部处方信息》,HealthyPlace。于2022年7月16日从//www.lharmeroult.com/diabetes/medications/janumet-sitagliptin-and-metformin获取
