NovoLog用于治疗糖尿病- NovoLog全部处方信息
品牌名称:NovoLog
通用名:天冬氨酸胰岛素
注射剂型:
内容:
适应症和用法
剂量和管理
剂型和强度
禁忌症
警告和预防措施
不良反应
药物的相互作用
在特定人群使用
过剂量
描述
临床药理学
临床前毒理学
临床研究
如何供应/储存和处理
NovoLog,门冬酮胰岛素,患者信息(简明英语)
适应症和用法
糖尿病的治疗
NovoLog是一种胰岛素类似物,用于改善成人和儿童糖尿病患者的血糖控制。
剂量和管理
剂量
NovoLog是一种胰岛素类似物,比普通的人类胰岛素起效更早。NovoLog的剂量必须因人而异。皮下注射的NovoLog一般应用于与中间或长效胰岛素联合使用的方案中警告和预防措施,如何供应/储存和处理].每日总胰岛素需求量可能有所不同,通常在0.5至1.0单位/公斤/天之间。当用于与进餐相关的皮下注射治疗方案时,总胰岛素需求的50 - 70%可能由NovoLog提供,其余由中间作用或长效胰岛素提供。由于NovoLog起效较快,降糖作用持续时间较短,一些患者在使用NovoLog时,可能需要更多的基础胰岛素和总胰岛素来预防餐前高血糖,比使用人类常规胰岛素时要多。
不要使用粘稠(增稠)或浑浊的NovoLog;只能在透明无色的情况下使用。NovoLog不能在打印的过期日期之后使用。
皮下注射
NovoLog应在腹部、臀部、大腿或上臂皮下注射。因为与人类常规胰岛素相比,NovoLog起效更快,持续时间更短,所以应该在饭前立即(5-10分钟内)注射。注射部位应在同一区域内旋转,以减少脂肪营养不良的风险。与所有胰岛素一样,NovoLog的作用时间将根据剂量、注射部位、血流、温度和体力活动水平而变化。
皮下注射用胰岛素稀释液可稀释NovoLog。将一份NovoLog稀释成九份稀释剂,得到的浓度是NovoLog的十分之一(相当于U-10)。将一份NovoLog稀释成一份稀释剂,得到的浓度为NovoLog的一半(相当于U-50)。
体外泵连续皮下注射胰岛素(CSII)
NovoLog也可以通过外部胰岛素泵皮下注射警告和预防措施,如何供应/储存和处理].稀释后的胰岛素不应用于体外胰岛素泵。因为与人类常规胰岛素相比,NovoLog起效更快、持续时间更短,所以应在餐前立即(5-10分钟内)注射NovoLog餐前丸。输注部位应在同一区域内旋转,以减少脂肪营养不良的风险。体外注射胰岛素泵的初始规划应基于前一方案的每日胰岛素总剂量。尽管患者间存在显著的差异,但总剂量的约50%通常作为与用餐相关的NovoLog丸,其余作为基础输注。至少每48小时更换储液器、输液器和输液器插入部位的NovoLog。
静脉注射使用
NovoLog可在医生监督下静脉注射控制血糖,密切监测血糖和钾水平,以避免低血糖和低钾血症[见]警告和预防措施,如何供应/储存和处理].对于静脉使用,NovoLog应在使用聚丙烯输液袋的输液器中以0.05 U/mL至1.0 U/mL的浓度使用。NovoLog在输液中表现稳定,如0.9%氯化钠。
在静脉注射前检查NovoLog颗粒物质和变色情况。
剂型和强度
NovoLog有以下包装尺寸:每个包装包含每毫升(U-100) 100单位的门冬酮胰岛素。
- 10毫升瓶
- 3ml PenFill墨盒用于3ml PenFill墨盒输送装置(含或不含NovoPen®3 PenMate®)与NovoFine®一次性针头
- 3毫升NovoLog FlexPen预充注射器
禁忌症
NovoLog是禁忌
- 在低血糖发作期间
- 对NovoLog或它的一种赋形剂过敏的患者。
警告和预防措施
政府
与普通人类胰岛素相比,NovoLog起效更快,作用持续时间更短。注射NovoLog后应立即在5-10分钟内进食。由于NovoLog的作用时间短,1型糖尿病患者也应该使用长效胰岛素,2型糖尿病患者也可能需要。建议对所有糖尿病患者进行血糖监测,对使用体外泵输液治疗的患者尤其重要。
任何胰岛素剂量的改变都应谨慎,并应在医生监督下进行。从一种胰岛素产品更换到另一种或改变胰岛素强度可能导致需要改变剂量。与所有胰岛素制剂一样,NovoLog作用的时间过程可能在不同的个体或同一个体的不同时间发生变化,这取决于许多条件,包括注射部位、局部血液供应、温度和身体活动。雷竞技到底好不好用改变身体活动水平或饮食计划的患者可能需要调整胰岛素剂量。在疾病、情绪紊乱或其他压力下,胰岛素需求可能发生改变。
使用持续皮下注射胰岛素泵治疗的患者必须接受注射胰岛素的训练,并在泵失效的情况下有备用的胰岛素治疗。
低血糖症
低血糖是所有胰岛素疗法最常见的副作用,包括NovoLog。严重的低血糖可导致意识丧失和/或抽搐,并可能导致暂时性或永久性脑功能损伤或死亡。在使用胰岛素的临床试验中,包括使用NovoLog的试验中,已经观察到需要他人协助和/或静脉输注葡萄糖或胰高血糖素的严重低血糖。
低血糖的时间通常反映了给药胰岛素配方的时间-作用曲线(见)Clincal药理学].其他因素如食物摄入的变化(如食物量或进餐时间)、注射部位、运动和伴随的药物也可能改变低血糖的风险[见]药物的相互作用].与所有胰岛素一样,对于低血糖不知情的患者和可能易患低血糖的患者(例如,正在禁食或食物摄入不稳定的患者),应谨慎使用。病人的注意力和反应能力可能因低血糖而受损。在这些能力特别重要的情况下,例如驾驶或操作其他机器,这可能会带来风险。
无论血糖值如何,血糖水平的快速变化可引起糖尿病患者的低血糖症状。在某些情况下,低血糖的早期预警症状可能不同或不那么明显,如长期糖尿病、糖尿病神经疾病、使用β -受体阻滞剂等药物或加强糖尿病控制[见]雷竞技到底好不好用药物的相互作用].在患者意识到低血糖之前,这些情况可能会导致严重的低血糖(并且可能失去意识)。静脉注射胰岛素比皮下注射胰岛素起效更快,需要对低血糖进行更密切的监测。
低钾血
所有胰岛素产品,包括NovoLog,都会导致钾从细胞外转移到细胞内,可能导致低钾血症,如果不及时治疗,可能导致呼吸瘫痪、室性心律失常和死亡。对于可能存在低钾血症风险的患者(例如,使用降钾药物的患者,服用对血清钾浓度敏感的药物的患者,以及静脉注射胰岛素的患者)应谨慎使用。
肾功能损害
与其他胰岛素一样,在肾损害患者中,NovoLog的剂量要求可以降低临床药理学].
肝损伤
与其他胰岛素一样,NovoLog对肝损伤患者的剂量要求可以降低临床药理学].
过敏和过敏反应
局部反应-与其他胰岛素治疗一样,患者在注射NovoLog部位可能会出现红肿或瘙痒。这些反应通常在几天到几周内消退,但在某些情况下,可能需要停用NovoLog。在某些情况下,这些反应可能与胰岛素以外的因素有关,如皮肤洁面剂中的刺激物或糟糕的注射技术。局部反应和广泛性肌痛已被报道与注射metacresol,这是一种辅料在NovoLog。
全身反应-严重的,危及生命的,广泛性过敏,包括过敏反应,可能发生任何胰岛素产品,包括NovoLog。NovoLog在批准后出现了过敏反应的报道。广泛性胰岛素过敏也可引起全身皮疹(包括瘙痒症)、呼吸困难、喘息、低血压、心动过速或出汗。在对照临床试验中,735例接受常规人胰岛素治疗的患者中有3例(0.4%)出现过敏反应,1394例接受NovoLog治疗的患者中有10例(0.7%)出现过敏反应。在对照和非对照临床试验中,2341例接受novologo治疗的患者中有3例(0.1%)因过敏反应而停止治疗。
抗体生产
在接受NovoLog治疗的患者中,已观察到抗胰岛素抗体滴度增加,可与人胰岛素和冬氨酸胰岛素发生反应。与普通人胰岛素相比,NovoLog抗胰岛素抗体的增加更为频繁。一项针对1型糖尿病患者的12个月对照试验数据表明,这些抗体的增加是短暂的,在3个月和6个月观察到的常规人胰岛素组和冬门冬胰岛素治疗组之间抗体水平的差异在12个月时不再明显。这些抗体的临床意义尚不清楚。这些抗体似乎不会导致血糖控制恶化或需要增加胰岛素剂量。
混合胰岛素
- 注射前立即将NovoLog与NPH人胰岛素混合,可降低NovoLog的峰值浓度,但不显著影响NovoLog达到峰值浓度的时间或总生物利用度。如果NovoLog与NPH人胰岛素混合,应先将NovoLog吸入注射器,混合后立即注射。
- NovoLog与其他生产商生产的胰岛素制剂混合使用的有效性和安全性尚未得到研究。
- 胰岛素混合物不应静脉注射。
体外泵连续皮下注射胰岛素
当用于皮下胰岛素输注泵时,NovoLog不应与任何其他胰岛素或稀释剂混合。当在体外胰岛素泵中使用novvolog时,应该遵循novvolog的特定信息(例如,使用时间,更换输液器的频率),因为novvolog的特定信息可能不同于一般泵的说明书说明。
泵或输液器故障或胰岛素降解可导致高血糖和酮症的快速发作,因为皮下储存的胰岛素较少。这尤其适用于速效胰岛素类似物,它们能更快地被皮肤吸收,作用时间更短。及时识别和纠正高血糖或酮症的原因是必要的。可能需要皮下注射的临时治疗[见]剂量和管理,警告和预防措施,如何供应/储存和处理].
NovoLog推荐用于胰岛素输注的泵系统,如下所示。
泵:
MiniMed 500系列和其他等效泵。
储液器和输液器:
NovoLog推荐用于与胰岛素和特定泵兼容的储液器和输液器。体外研究表明,当NovoLog在泵系统中维持超过48小时时,可能会发生泵故障、metacresol丢失和胰岛素降解。贮液器和输液器至少每48小时更换一次。
NovoLog不应暴露在超过37°C(98.6°F)的温度下。用于泵内的NovoLog不应与其他胰岛素或稀释剂混合使用剂量和管理,警告和预防措施,如何供应/储存和处理].
不良反应
临床试验经验
由于临床试验的设计差异很大,一个临床试验报告的不良反应率可能很难与另一个临床试验报告的不良反应率进行比较,也可能不能反映临床实践中实际观察到的不良反应率。
- 低血糖症
低血糖是使用胰岛素的患者中最常见的不良反应,包括NovoLog警告和预防措施].
- 胰岛素启动和葡萄糖控制强化
葡萄糖控制的强化或快速改善与短暂的可逆性眼屈光障碍、糖尿病视网膜病变恶化和急性疼痛周围神经病变相关。然而,长期的血糖控制可以降低糖尿病视网膜病变和神经病变的风险。
- 脂肪代谢障碍
长期使用胰岛素,包括NovoLog,可引起反复注射或输注胰岛素部位的脂肪营养不良。脂肪营养不良包括脂肪肥大(脂肪组织增厚)和脂肪萎缩(脂肪组织变薄),并可能影响胰岛素吸收。在同一区域内轮换胰岛素注射或输注部位,以降低脂肪营养不良的风险。
- 体重增加
体重增加可能发生在一些胰岛素治疗,包括NovoLog,并被归因于胰岛素的合成代谢作用和葡萄糖尿的减少。
- 外周水肿
胰岛素可能导致钠潴留和水肿,特别是如果以前代谢控制不良的情况通过强化胰岛素治疗得到改善。
- 药物不良反应的频率
在NovoLog临床试验中,1型糖尿病和2型糖尿病患者发生药物不良反应的频率如下表所示。
表1:1型糖尿病患者的治疗-发生不良事件(与人类常规胰岛素相比,NovoLog的不良事件发生率为≥5%,发生率更高)
NovoLog +一组 N = 596 |
人常规胰岛素+ NPH N = 286 |
|||
| 首选项 | N | (%) | N | (%) |
| 低血糖症* | 448 | 75% | 205 | 72% |
| 头疼 | 70 | 12% | 28 | 10% |
| 意外受伤 | 65 | 11% | 29 | 10% |
| 恶心想吐 | 43 | 7% | 13 | 5% |
| 腹泻 | 28 | 5% | 9 | 3% |
*低血糖被定义为血糖浓度的发作
表2:2型糖尿病患者的治疗-发生不良事件(除低血糖外,NovoLog的不良事件发生率为≥5%,与人类常规胰岛素相比,NovoLog的不良事件发生率更高)
NovoLog +一组 N = 91 |
人常规胰岛素+ NPH N = 91 |
|||
| N | (%) | N | (%) | |
| 低血糖* | 25 | 27% | 33 | 36% |
| 反射减退 | 10 | 11% | 6 | 7% |
| 甲真菌病 | 9 | 10% | 5 | 5% |
| 感觉障碍 | 8 | 9% | 6 | 7% |
| 尿路感染 | 7 | 8% | 6 | 7% |
| 胸部疼痛 | 5 | 5% | 3. | 3% |
| 头疼 | 5 | 5% | 3. | 3% |
| 皮肤病 | 5 | 5% | 2 | 2% |
| 腹部疼痛 | 5 | 5% | 1 | 1% |
| 鼻窦炎 | 5 | 5% | 1 | 1% |
*低血糖被定义为血糖浓度的发作
上市后数据
在批准使用NovoLog期间,还发现了以下其他不良反应。由于这些不良反应是在规模不确定的人群中自愿报告的,因此通常不可能可靠地估计其发生频率。在批准后的使用过程中,发现了其他胰岛素被意外替换为NovoLog的用药错误。
药物的相互作用
许多物质影响葡萄糖代谢,可能需要调整胰岛素剂量和特别密切的监测。
- 以下是可能降低血糖降低作用的物质的例子:皮质类固醇、烟酸、丹那唑、利尿剂、拟交感神经药物(如肾上腺素、沙丁胺醇、特布他林)、异烟肼、吩噻嗪衍生物、生长激素、甲状腺激素、雌激素、孕激素(如口服避孕药)、非典型抗精神病药物。
- 受体阻滞剂、可乐定、锂盐和酒精可能增强或减弱胰岛素的血糖降低作用。
- 喷他脒可引起低血糖,低血糖后有时可出现高血糖。
- 服用β -受体阻滞剂、可乐定、胍乙啶和利血平等交感神经药物的患者,低血糖症状可减轻或消失。
在特定人群使用
怀孕
b类妊娠:所有妊娠均有出生缺陷、胎儿丧失或其他不良结局的背景风险,且与药物接触无关。这种背景风险在伴有高血糖的妊娠中增加,并可通过良好的代谢控制降低。糖尿病患者或有妊娠糖尿病史的患者在受孕前和整个妊娠期间保持良好的代谢控制是至关重要的。胰岛素需求在妊娠早期可能减少,妊娠中期和晚期一般增加,分娩后迅速下降。在这些患者中,仔细监测血糖控制是必不可少的。因此,应该建议女性患者告诉她们的医生,如果她们打算怀孕,或者在服用NovoLog期间怀孕。
一项开放的随机研究在322名患有1型糖尿病的孕妇中比较了NovoLog (n=157)与普通人胰岛素(n=165)的安全性和有效性。参与研究的患者中有三分之二在进入研究时已经怀孕。因为只有三分之一的患者在受孕前登记,该研究的规模不足以评估先天性畸形的风险。两组妊娠期平均糖化血红蛋白均达到~ 6%,产妇低血糖发生率无明显差异。
在大鼠和家兔中使用NovoLog和常规人胰岛素进行了皮下生殖和畸形学研究。在这些研究中,雌性大鼠在交配前、交配期间和整个怀孕期间,以及在器官发生期间给兔子注射NovoLog。NovoLog的效果与皮下常规人胰岛素没有区别。与人类胰岛素一样,NovoLog在大鼠皮下注射200 U/kg/天时(按U/体表面积计算,约为人类皮下注射1.0 U/kg/天的32倍)和兔子皮下注射10 U/kg/天的剂量(按U/体表面积计算,约为人类皮下注射1.0 U/kg/天的3倍)会导致植入前后的损失和内脏/骨骼异常。其影响可能是继发于高剂量产妇低血糖。在大鼠剂量为50 U/kg/天和兔子剂量为3 U/kg/天时,未观察到显著影响。这些剂量大约是大鼠1.0 U/kg/天皮下剂量的8倍,等于兔1.0 U/kg/天皮下剂量(以U/体表面积计算)。
哺乳期妇女
尚不清楚冬氨酸胰岛素是否在人乳中排泄。NovoLog的使用与母乳喂养兼容,但正在泌乳的糖尿病妇女可能需要调整胰岛素剂量。
儿童使用
NovoLog已被批准用于儿童皮下每日注射和体外胰岛素泵皮下持续输注。请参见临床研究临床研究的总结。
老年使用
在3项对照临床研究中,接受NovoLog治疗的患者总数(n= 1375)中,65岁及以上的患者占2.6% (n=36)。其中一半患者患有1型糖尿病(18/1285),另一半患者患有2型糖尿病(18/90)。与人胰岛素相比,NovoLog对HbA1c的反应没有因年龄而异,特别是在2型糖尿病患者中。需要在65岁或以上的更大人群中进行更多的研究,才能得出与年轻患者相比,NovoLog在老年患者中的安全性的结论。尚未进行过评估年龄对NovoLog起效影响的药代动力学/药效学研究。
过剂量
过量注射胰岛素可引起低血糖,特别是静脉注射时,可引起低血钾。轻度低血糖通常可以用口服葡萄糖治疗。可能需要调整药物剂量、饮食模式或锻炼。更严重的昏迷、癫痫发作或神经损伤可采用肌注/皮下胰高血糖素或静脉注射浓缩葡萄糖治疗。持续的碳水化合物摄入和观察可能是必要的,因为低血糖可能在明显的临床恢复后复发。低钾血症必须适当纠正。
描述
NovoLog(门冬氨酸胰岛素[rDNA来源]注射液)是一种速效人类胰岛素类似物,用于降低血糖。NovoLog与普通的人类胰岛素同源,除了B28位的氨基酸脯氨酸被天冬氨酸取代之外,它是利用酿酒酵母(面包酵母)通过重组DNA技术生产的。天冬氨酸胰岛素的经验公式为C256H381N65079年代6分子量为5825.8。

图1。天门冬胰岛素结构式。
NovoLog是一种无菌,水,透明,无色的溶液,含有胰岛素天冬氨酸100单位/毫升,甘油16毫克/毫升,苯酚1.50毫克/毫升,metacresol 1.72毫克/毫升,锌19.6 mcg/毫升,磷酸氢二钠1.25毫克/毫升,氯化钠0.58毫克/毫升。NovoLog的pH值为7.2-7.6。可加入10%盐酸和/或10%氢氧化钠来调节pH值。
临床药理学
的作用机制
NovoLog的主要活性是调节葡萄糖代谢。包括NovoLog在内的胰岛素与肌肉和脂肪细胞上的胰岛素受体结合,通过促进细胞对葡萄糖的吸收,同时抑制肝脏对葡萄糖的输出,从而降低血糖。
药效学
对正常志愿者和糖尿病患者的研究表明,皮下注射NovoLog比普通人类胰岛素起效更快。
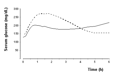
在一项对1型糖尿病患者(n=22)的研究中,NovoLog的最大降糖作用发生在皮下注射后1 - 3小时之间(见图2)。NovoLog的作用时间为3 - 5小时。胰岛素和胰岛素类似物(如NovoLog)的作用时间过程在不同个体或同一个体中可能有很大差异。图2中指定的NovoLog活动的参数(起始时间、峰值时间和持续时间)应仅被视为通用指南。胰岛素吸收的速度和活动的开始受注射部位、运动和其他变量的影响警告和预防措施].

图2。22名1型糖尿病患者在餐前立即注射单剂量NovoLog(固体曲线)或普通人胰岛素(孵卵曲线)后6小时内收集的连续平均血糖。
一项对16名1型糖尿病患者进行的双盲、随机、双向交叉研究表明,静脉输注NovoLog导致的血糖图谱与静脉输注普通人胰岛素后的血糖图谱相似。输注NovoLog或人胰岛素,直至患者血糖下降至36 mg/dL,或直至患者出现低血糖体征(心率升高和开始出汗),定义为自主反应时间(R)(见图3)。

图3。16例1型糖尿病患者静脉输注NovoLog后的平均血糖(孵化曲线)和普通人胰岛素(实心曲线)。R为自主反应时间。
药物动力学
NovoLog中B28位的氨基酸脯氨酸与天冬氨酸的单一取代降低了分子形成六聚体的趋势,这与普通人类胰岛素的情况相同。因此,与普通的人胰岛素相比,皮下注射后NovoLog的吸收速度更快。
在一项随机、双盲、交叉研究中,17名18 - 40岁的健康白人男性受试者接受了NovoLog或普通人胰岛素1.5 mU/kg/min的静脉输注120分钟。两组胰岛素清除率平均值相近,NovoLog组平均值为1.2 l/h/kg,普通人胰岛素组平均值为1.2 l/h/kg。
生物利用度和吸收——皮下注射后,与普通人胰岛素相比,NovoLog具有更快的吸收速度、更快的起效速度和更短的作用持续时间(见图2和图4)。与普通人胰岛素相比,NovoLog的相对生物利用度表明,两种胰岛素的吸收程度相似。

图4。22名1型糖尿病患者在餐前立即注射单剂量NovoLog(固体曲线)或普通人胰岛素(孵卵曲线),连续6小时收集血清游离胰岛素浓度。
在对健康志愿者(总n=l07)和1型糖尿病患者(总n=40)的研究中,NovoLog达到峰值血清浓度的速度大约是普通人类胰岛素的两倍。在这些试验中,NovoLog达到最高浓度的中位数时间为40至50分钟,而普通人类胰岛素为80至120分钟。在一项针对1型糖尿病患者的临床试验中,以0.15 U/kg体重的剂量皮下注射NovoLog和普通人胰岛素,其平均最大浓度分别达到82 mU/L和36 mU/L。天冬氨酸胰岛素在2型糖尿病患者中的药代动力学/药效学特性尚未建立。
健康男性志愿者在达到最大血清胰岛素浓度的时间上的个体内变异性在NovoLog组明显小于普通人胰岛素组。这一观察结果的临床意义尚未确定。
在一项针对健康非肥胖受试者的临床研究中,NovoLog与上述常规人胰岛素之间的药代动力学差异与注射部位(腹部、大腿或上臂)无关。
分布和消除- NovoLog与血浆蛋白的结合较低(<10%),与普通人类胰岛素相似。在正常男性志愿者皮下给药后(n=24), NovoLog比普通人胰岛素消失得更快,平均半衰期为81分钟,而普通人胰岛素的平均半衰期为141分钟。
特定的人群
儿童和青少年-在18名患有1型糖尿病的儿童(6-12岁,n=9)和青少年(13-17岁[Tanner分级> 2],n=9)中,评估了NovoLog和普通人胰岛素的药代动力学和药效学特性。在患有1型糖尿病的儿童和青少年中,NovoLog与普通人胰岛素在药代动力学和药效学方面的相对差异与健康成人受试者和1型糖尿病成人相似。
性别——在健康志愿者中,考虑到体重差异,男女之间的冬氨酸胰岛素水平没有差异。在一项针对1型糖尿病患者的试验中,性别之间的疗效无显著差异(以HbAlc评估)。
肥胖——在一项研究中,23名1型糖尿病患者和不同体重指数(BMI, 22-39 kg/m2)的患者接受了0.1 U/kg的单次皮下剂量NovoLog。NovoLog的药代动力学参数AUC和Cmax在不同组中普遍不受BMI的影响,BMI 19 ~ 23 kg/m2 (N=4);BMI 23-27 kg/m2 (N=7);BMI 27-32 kg/m2 (N=6)和BMI >32 kg/m2 (N=6)。与BMI患者相比,BMI >32 kg/m2患者NovoLog清除率降低28%
肾损害-一些关于人胰岛素的研究显示,肾衰竭患者的循环胰岛素水平升高。在一项研究中,对正常(N=6)肌酐清除(CLcr) (> 80 ml/min)或轻度(N=7;CLcr = 50-80 ml/min),中等(N=3;CLcr = 30- 50ml /min)或严重(但不需要血液透析)(N=2;CLcr = Warnings and caution]。
肝损害-一些关于人胰岛素的研究表明,在肝功能衰竭的患者中,循环胰岛素水平增加。在一项开放的单剂量研究中,24名受试者(N=6/组)接受了0.06 U/kg的皮下单剂量NovoLog,他们有不同程度的肝损伤(轻度、中度和重度),Child-Pugh评分从0(健康志愿者)到12(严重肝损伤)。在这项小型研究中,肝衰竭程度与任何NovoLog药代动力学参数之间没有相关性。仔细的血糖监测和胰岛素剂量调整,包括NovoLog,在肝功能障碍患者中可能是必要的警告和预防措施].
年龄、民族、怀孕和吸烟对NovoLog药代动力学和药效学的影响尚未被研究。
临床前毒理学
致癌性,诱变性,生育能力的损害
还没有在动物身上进行标准的2年致癌性研究来评估NovoLog的致癌潜力。在52周的研究中,Sprague-Dawley大鼠皮下注射NovoLog剂量为10、50和200 U/kg/天(分别为人体皮下剂量1.0 U/kg/天的2、8和32倍,以U/体表面积计算)。与对照组相比,NovoLog在200 U/kg/天的剂量下增加了女性乳腺肿瘤的发病率。NovoLog组的乳腺肿瘤发生率与普通胰岛素组无显著差异。这些发现与人类的相关性尚不清楚。NovoLog在以下试验中无遗传毒性:Ames试验、小鼠淋巴瘤细胞正向基因突变试验、人外周血淋巴细胞染色体畸变试验、小鼠体内微核试验和大鼠肝细胞体外UDS试验。在雄性和雌性大鼠的生育研究中,皮下剂量高达200 U/kg/天(大约是人类皮下剂量的32倍,基于U/体表面积),没有观察到对雄性和雌性的生育能力或动物的一般生殖性能的直接不良影响。
动物毒理学和/或药理学
在小鼠和兔子的标准生物试验中,一个单位的NovoLog与一个单位的普通人类胰岛素具有相同的降糖效果。与普通人类胰岛素相比,在人类中,NovoLog的作用起效更快,持续时间更短,这是因为它在皮下注射后吸收更快(见章节)临床药理学图2和图4)。
临床研究
每天皮下注射
两项为期6个月的开放标签主动对照研究比较了NovoLog和Novolin R在1型糖尿病成人患者中的安全性和有效性。由于两项研究的设计和结果相似,所以只显示了一项研究的数据(见表3)。NovoLog在饭前立即皮下注射,普通人胰岛素在饭前30分钟皮下注射。NPH胰岛素作为基础胰岛素每日单剂量或分剂量给药。HbA1c的变化和严重低血糖的发生率(由需要第三方干预的事件数量确定)在本研究(表3)和本节引用的其他临床研究中的两种治疗方案具有可比性。在两组的成人研究中均未报道糖尿病酮症酸中毒。
表3。皮下注射NovoLog治疗1型糖尿病(24周;n = 882)
| NovoLog +一组 | Novolin R + NPH | |
| N | 596 | 286 |
| 基线HbA1 c(%) * | 7.9±1.1 | 8.0±1.2 |
| 基线HbA卡的更改1 c(%) | -0.1±0.8 | 0.0±0.8 |
| HbA处理差异1 c,平均值(95%置信区间) | -0.2 (-0.3, -0.1) | |
| 基线胰岛素剂量(IU/kg/24小时)* | 0.7±0.2 | 0.7±0.2 |
| 研究结束胰岛素剂量(IU/kg/24小时)* | 0.7±0.2 | 0.7±0.2 |
| 严重低血糖患者(n, %)†| 104例(17%) | 54 (19%) |
基线体重(kg)* 基线体重变化(kg)* |
75.3±14.5 0.5±3.3 |
75.9±13.1 0.9±2.9 |
*数值为平均值±标准差
â€严重低血糖是指与中枢神经系统症状相关的低血糖,需要他人干预或住院治疗。
一项针对6 - 18岁1型糖尿病儿童和青少年(n = 283)的24周平行组研究比较了两种皮下多剂量治疗方案:NovoLog (n = 187)或Novolin R (n = 96)。NPH胰岛素作为基础胰岛素。通过测量HbA1c的变化(表4),NovoLog达到了与Novolin R相似的血糖控制,两个治疗组的低血糖发生率相似。在2 - 6岁的1型糖尿病儿童(n=26)中,也比较了皮下给药NovoLog和普通人胰岛素对HbA1c和低血糖的影响。
表4。儿童皮下给药NovoLog治疗1型糖尿病(24周;n = 283)
| NovoLog +一组 | Novolin R + NPH | |
| N | 187 | 96 |
| 基线HbA1 c(%) * | 8.3±1.2 | 8.3±1.3 |
| 基线HbA卡的更改1 c(%) | 0.1±1.0 | 0.1±1.1 |
| HbA处理差异1 c,平均值(95%置信区间) | 0.1 (-0.5, 0.1) | |
| 基线胰岛素剂量(IU/kg/24小时)* | 0.4±0.2 | 0.6±0.2 |
| 研究结束胰岛素剂量(IU/kg/24小时)* | 0.4±0.2 | 0.7±0.2 |
| 严重低血糖患者(n, %)†| 11 (6%) | 9 (9%) |
| 糖尿病酮症酸中毒(n, %) | 10 (5%) | 2 (2%) |
基线体重(kg) * 基线体重变化(kg) * |
50.6±19.6 2.7±3.5 |
48.7±15.8 2.4±2.6 |
*数值为平均值±标准差
â€严重低血糖是指与中枢神经系统症状相关的低血糖,需要他人干预或住院治疗。
一项为期6个月、开放标签的主动对照研究在2型糖尿病患者中比较了NovoLog和Novolin R的安全性和有效性(表5)。NovoLog在饭前立即皮下注射,而普通人胰岛素则在饭前30分钟皮下注射。NPH胰岛素作为基础胰岛素每日单剂量或分剂量给药。两种治疗方案的HbAlc变化和严重低血糖发生率(由需要第三方干预的事件数量确定)具有可比性。
表5所示。皮下注射NovoLog治疗2型糖尿病(6个月;n = 176)
| NovoLog +一组 | Novolin R + NPH | |
| N | 90 | 86 |
| 基线HbA1 c(%) * | 8.1±1.2 | 7.8±1.1 |
| 基线HbA卡的更改1 c(%) | -0.3±1.0 | -0.1±0.8 |
| HbA处理差异1 c,平均值(95%置信区间) | -0.1 (-0.4, -0.1) | |
| 基线胰岛素剂量(IU/kg/24小时)* | 0.6±0.3 | 0.6±0.3 |
| 研究结束胰岛素剂量(IU/kg/24小时)* | 0.7±0.3 | 0.7±0.3 |
| 严重低血糖患者(n, %) †| 9 (10%) | 5 (8%) |
基线体重(kg) * 基线体重变化(kg) * |
88.4±13.3 1.2±3.0 |
85.8±14.8 0.4±3.1 |
*数值为平均值±标准差
â€严重低血糖是指与中枢神经系统症状相关的低血糖,需要他人干预或住院治疗。
体外泵连续皮下注射胰岛素(CSII)
两项开放的平行设计研究(6周[n=29]和16周[n=118])在接受体外胰岛素泵皮下注射的1型糖尿病患者中比较了NovoLog与缓冲的普通人胰岛素(Velosulin)。两种治疗方案在糖化血红蛋白和严重低血糖发生率方面的变化具有可比性。
表6所示。1型糖尿病的成人胰岛素泵研究(16周;n = 118)
| NovoLog | 缓冲人类胰岛素 | |
| N | 59 | 59 |
| 基线HbA1 c(%) * | 7.3±0.7 | 7.5±0.8 |
| 基线HbA卡的更改1 c(%) | 0.0±0.5 | 0.2±0.6 |
| HbA处理差异1 c,平均值(95%置信区间) | 0.3 (-0.1, 0.4) | |
| 基线胰岛素剂量(IU/kg/24小时)* | 0.7±0.8 | 0.6±0.2 |
| 研究结束胰岛素剂量(IU/kg/24小时)* | 0.7±0.7 | 0.6±0.2 |
| 严重低血糖患者(n, %) †| 1 (2%) | 2 (3%) |
基线体重(kg) * 基线体重变化(kg) * |
77.4±16.1 0.1±3.5 |
74.8±13.8 -0.0±1.7 |
*数值为平均值±标准差
â€严重低血糖是指与中枢神经系统症状相关的低血糖,需要他人干预或住院治疗。
一项针对4-18岁1型糖尿病儿童和青少年(n=298)的随机、16周、开放标签、平行设计研究比较了两种通过体外胰岛素泵皮下输注方案:NovoLog (n=198)或lispro胰岛素(n=100)。这两种治疗在治疗16周后,糖化血红蛋白(HbA1c)和低血糖发生率较基线有可比性变化(见表7)。
表7所示。1型糖尿病儿童胰岛素泵研究(16周;n = 298)
| NovoLog | Lispro | |
| N | 198 | One hundred. |
| 基线HbA1 c(%) * | 8.0±0.9 | 8.2±0.8 |
| 基线HbA卡的更改1 c(%) | -0.1±0.8 | -0.1±0.7 |
| HbA处理差异1 c,平均值(95%置信区间) | -0.1 (-0.3, 0.1) | |
| 基线胰岛素剂量(IU/kg/24小时)* | 0.9±0.3 | 0.9±0.3 |
| 研究结束胰岛素剂量(IU/kg/24小时)* | 0.9±0.2 | 0.9±0.2 |
| 严重低血糖患者(n, %) †| 19 (10%) | 8 (8%) |
| 糖尿病酮症酸中毒(n, %) | 1 (0.5%) | 0 (0) |
基线体重(kg) * 基线体重变化(kg) * |
54.1±19.7 1.8±2.1 |
55.5±19.0 1.6±2.1 |
*数值为平均值±标准差
â€严重低血糖是指与中枢神经系统症状相关的低血糖,需要他人干预或住院治疗。
一项开放的、16周的平行设计试验对127名2型糖尿病成人进行了比较,将餐前NovoLog注射液与NPH注射液联合使用与持续皮下输注NovoLog进行了比较。两个治疗组的糖化血红蛋白和严重低血糖发生率降低相似(表8)适应症和用法,剂量和管理,警告和预防措施而且如何供应/储存和处理].
表8所示。2型糖尿病的泵治疗(16周;n = 127)
| NovoLog泵 | NovoLog +一组 | |
| N | 66 | 61 |
| 基线HbA1 c(%) * | 8.2±1.4 | 8.0±1.1 |
| 基线HbA卡的更改1 c(%) | -0.6±1.1 | -0.5±0.9 |
| HbA处理差异1 c,平均值(95%置信区间) | 0.1 (0.4, 0.3) | |
| 基线胰岛素剂量(IU/kg/24小时)* | 0.7±0.3 | 0.8±0.5 |
| 研究结束胰岛素剂量(IU/kg/24小时)* | 0.9±0.4 | 0.9±0.5 |
基线体重(kg) * 基线体重变化(kg) * |
96.4±17.0 1.7±3.7 |
96.9±17.9 0.7±4.1 |
*数值为平均值±标准差
静脉注射NovoLog
参见临床药理学和药效学.
如何供应/储存和处理
NovoLog有以下包装尺寸:每毫升(U-100)含有100单位的门冬酮胰岛素。
| 10毫升瓶 | NDC 0169-7501-11 |
| 3毫升笔筒* | NDC 0169-3303-12 |
| 3 mL NovoLog FlexPen预充注射器 | NDC 0169-6339-10 |
* NovoLog PenFill墨盒设计用于与诺和诺德3ml PenFill墨盒兼容的胰岛素输送装置(有或不添加诺和诺德3 PenMate)使用诺和诺德一次性针头。
推荐的存储
未使用的NovoLog应储存在2°至8°C(36°至46°F)的冰箱中。不要储存在冰箱或直接毗邻冰箱冷却元件。请勿冷冻NovoLog,如果NovoLog已经冷冻,请勿使用。NovoLog不应吸入注射器并储存以备以后使用。
小瓶:初次使用后,小瓶可在低于30°C(86°F)的温度下保存至多28天,但不应暴露在过热或阳光下。打开的小瓶可以冷藏。
未穿孔的小瓶如果存放在冰箱中,可以使用到标签上打印的过期日期。把没用过的小瓶放在纸盒里,这样它们就能保持清洁和避光。
笔筒或NovoLog FlexPen预填充注射器:
一旦针管或NovoLog FlexPen预充注射器被穿刺,它应该在低于30°C(86°F)的温度下保存长达28天,但不应该暴露在过热或阳光下。使用中的针管或NovoLog FlexPen预充注射器不能储存在冰箱中。保持所有的PenFill®墨盒和一次性NovoLog FlexPen预填充注射器远离直接加热和阳光。未穿孔的笔筒和NovoLog FlexPen预填充注射器如果存放在冰箱中,可以使用到标签上打印的过期日期。将未使用的钢笔墨盒和NovoLog FlexPen预充注射器保存在纸盒中,以便保持清洁和避光。
每次注射后一定要取出针,并储存3ml的PenFill筒输送装置或NovoLog FlexPen预充注射器,不带针。这可以防止污染和/或感染,或胰岛素泄漏,并将确保准确的剂量。每次注射都要使用新针头,以防止污染。
泵:
至少每使用48小时,或暴露在温度超过37°C(98.6°F)后,应丢弃泵储层中的NovoLog。
存放条件汇总:雷竞技到底好不好用
贮藏条件汇总如下表:雷竞技到底好不好用
表9所示。小瓶,笔筒和No雷竞技到底好不好用voLog FlexPen预填充注射器的存储条件
NovoLog 演讲 |
未使用(未开封)室温(低于30°C) | 未使用(未开封)冷藏 | 室温(低于30°C) |
| 10毫升瓶 | 28天 | 直到截止日期 | 28天(冷藏/室温) |
| 3毫升笔筒 | 28天 | 直到截止日期 | 28天 (不要冷藏) |
| 3 mL NovoLog FlexPen预充注射器 | 28天 | 直到截止日期 | 28天 (不要冷藏) |
贮存稀释的NovoLog
用NovoLog的胰岛素稀释液稀释到相当于U-10或相当于U-50的浓度,可在低于30°C(86°F)的温度下供患者使用28天。
NovoLog在输液中的储存
按照剂量和给药方法(2)中所示制备的输液袋在室温下可稳定24小时。一些胰岛素最初会被吸附到输液袋的材料上。
最后更新12/2008
NovoLog,门冬酮胰岛素,患者信息(简明英语)
本专著中的信息不打算涵盖所有可能的用途、方向、预防措施、药物相互作用或不良反应。此信息是泛泛性的,并不打算作为具体的医疗建议。如果您对所服用的药物有疑问或想了解更多信息,请咨询您的医生、药剂师或护士。
APA的参考
H. Staff(2008年12月31日)。NovoLog治疗糖尿病- NovoLog全部处方信息,HealthyPlace。2021年6月5日从//www.lharmeroult.com/diabetes/medications/novolog-insulin-pump-information上检索到

